

定义
[1]

[2]

[3]


[4]


[5]


病理生理

[6]
◆顿抑心肌指的是缺血后,虽恢复血流灌注,仍有一过性功能障碍的心肌。
◆冬眠心肌指的是由于慢性持续心肌 缺血,导致收缩功能降低,但通过提高血流量或降低氧耗仍可能达到全部或部分修复的心肌。
◆20%-50%的缺血性心肌病患者存在相当数量的存活冬眠心肌。
◆通过早期血运重建挽救冬眠心肌,可能在阻止和逆转心室重塑方面起到决定性作用。
临床表现

辅助检查


药物治疗

心衰治疗“金三角”

2016 ESC Guidelines for Heart Failure

2015 ESC NSTE-ACS Guideline

2013 ACC STEMI Guideline

血运重建
血运重建-获益
[7]
多项观察性研究发现,在有存活心肌的缺血性心肌病患者中,与单纯药物治疗相比,血运重建能改善生存率和左室功能。

[8]




平均随访9.8年,接受CABG加药物治疗的患者,任何原因引起的死亡,心血管原因死亡,或心血管原因住院率都显著低于单纯接受药物治疗的患者。

血运重建-风险
【CABG】
克利夫兰医学中心对1990~1999年间行CABG的10400多例患者进行回顾性分析,结果显示左室功能严重受损(LVEF<35%)患者的院内病死率为3.2%
【PCI】
缺血性心肌病患者也是PCI的高危患者,与心功能正常的患者相比,手术成功率较低,术后病死率和并发症发生率均更高
血运重建前的评估
临床因素
◆临床表现(ACS/SAP)
◆心绞痛程度(CCS分级)
◆心衰程度(NYHA分级)
◆有无接受规范药物治疗
◆有无合并症
◆有无不适合血运重建的其他疾病
冠脉病变
◆冠脉造影-金标准
2014 ESC/EACTS Guidelines on myocardial revascularization

心肌活性
◆PET/CT-心肌代谢
◆MRI-是否存在瘢痕组织
◆多巴胺负荷超声心动图-收缩功能储备
2014 ESC血运重建指南:
心肌活性不是心衰患者考虑是否选择最佳血运重建方法的唯一因素
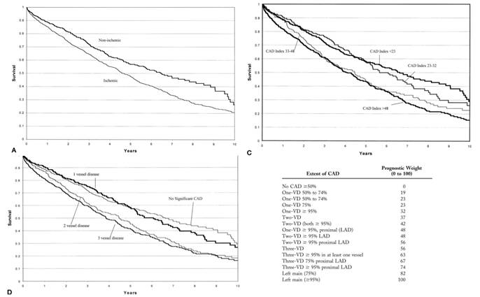
风险评估模型

[9]



是否行血运重建术?
◆个体化
◆药物治疗为基石
◆规律用药仍有心绞痛症状发作-重新评估
◆结合临床症状、冠状动脉病变程度、有无存活心肌和风险分层
血运重建选择-CABG or PCI?


◆登记注册研究
◆4616例多血管病变且 LVEF≤35%的患者,进行倾向性评分,纳入2126例,EES和CABG组各1063例。
◆中位随访2.9年
[10]

血运重建-指南推荐


左室成形
◆相同左室压下,左室越大,室壁张力越大,耗氧越大。
◆左室减容可以降低室壁张力,降低耗氧。
◆CABG+左室成形术具有良好的远期生活质量和存活率
下列条件患者进行CABG+左室重建术会有更好的远期结果:
[11]
◆一支以上可供搭桥血管;
◆左室射血分数<35%;
◆存活心肌++(心肌灌注显像);
◆左室重构程度:左室明显扩大(LVESVI>60ml/m2或LVEDD>60mm);
◆室壁瘤占左室50%以上,或并二尖瓣关闭不全。
左室辅助装置
◆心室辅助装置价格昂贵,而且国内缺少相关医保报销,ECMO费用相对较低,适合中国国情。
◆心脏辅助装置可应用于危重症心脏外科患者,也可作为向心脏移植过渡的桥梁:
心脏移植
◆心脏移植是终末期心力衰竭的最终治疗手段,可明显提高远期存活率和生活质量,10年存活率可达75.3%。
◆入选标准:
①两支以下可供搭桥血管;
②左室射血分数<35%;
③存活心肌+;
④左室重构程度
——a.左心室重度以上扩大(LVEDD>70mm)
——b.左心室呈球状扩张,全心室运动普遍低下
——c.存活心肌运动区与缺血坏死区不可区分
[1]
Am Heart J. 1970 Mar;79(3):291-2.
Prog Cardiovasc Dis. 1984 Sep-Oct;27(2):95-114
Circulation. 1996 Mar 1;93(5):841-2
[2]Braunwald‘s Heart Disease, 2011
[3]J Am Coll Cardiol. 2002 Jan 16;39(2):210-8.
[4]Am Heart J. 1970 Mar;79(3):291-2.
Prog Cardiovasc Dis. 1984 Sep-Oct;27(2):95-114
Circulation. 1996 Mar 1;93(5):841-2.
J Am Coll Cardiol. 2002 Jan 16;39(2):210-8.
[5]Circulation. 2006;113:1807-1816
[6]Circulation,2000,102:E31
[7]Circulation 1992; 86:11-198
[8]N Engl J Med 2011;364:1607-16
[9]http://riskcalc.sts.org
[10]Circulation, 2016;133:2132-2140
[11]《郑哲:心力衰竭的外科治疗——挑战与突破》
作者简介

朱佩
医学博士,毕业于北京协和医学院八年制临床医学专业,现为中国医学科学院阜外医院主治医师。目前于阜外医院心力衰竭中心进行专科培训。