
背景介绍
全球共有超6400万人患有心力衰竭,其中半数合并射血分数减低。运动耐力下降是射血分数减低的心力衰竭(HFrEF)患者最突出的临床表现,严重影响患者生活质量。改善HFrEF患者临床预后的药物治疗策略,主要以改善心室重构、降低心血管死亡作为目标,近年来取得了很大进步,但尚未有一种药物可以有效地提高此类患者的运动耐力。Omecamtiv mecarbil(OM)是一种新型选择性心肌肌球蛋白激活剂,可直接增强心肌收缩力。在既往研究中,GALACTIC-HF研究显示OM在减少HFrEF患者心血管死亡或首次心力衰竭住院事件方面具有明显的获益。METEORIC-HF研究(NCT03759392)通过测量通气效率、摄氧量、日常活动和生活质量来评估OM与安慰剂对HFrEF患者运动耐力的影响。近期在ACC.2022会议上,公布的METEORIC-HF研究数据表明,OM并未改善HFrEF患者的运动耐力。
研究设计
METEORIC-HF研究是一项多中心、双盲、随机对照的3期临床试验,共纳入276名正在接受最大耐受剂量GDMT的门诊HFrEF患者。主要纳入标准包括:年龄18~85岁,NYHA心功能分级II-III级,12个月内曾左心室射血分数(LVEF)≤35%,N末端B型利钠肽原(NT-proBNP)≥200 pg/mL,心肺运动试验(CPET) 峰值摄氧量(pVO2)≤ 75%正常值且CPET呼吸交换率(RER)≥1.05。入选患者平均年龄64岁,15%为女性,缺血性心衰占60%,平均LVEF值为27%。在正常药物治疗的基础上,将患者按2:1比例随机分组,分别接受OM(185名)或安慰剂(91名)治疗。OM起始剂量为25 mg BID,根据第2、6周给药前血药浓度逐渐滴定到25 mg BID,37.5 mg BID或50 mg BID,并持续给药20周。主要终点是从基线到第20周复查CPET,测量pVO2变化。次要终点包括总运动负荷、通气效率和通过腕动计记录的日常身体活动的变化,并进行亚组分析。162名OM组及81名安慰剂组患者完成了20周CPET测试。

图1:METEORIC-HF的研究设计
研究结果
主要终点
从基线到20周时,OM组和安慰剂组的pVO2变化分别为-0.24±0.17 mL·kg-1·min-1和0.21±0.24 mL·kg-1·min-1,变化差值为-0.45 mL·kg-1·min-1 [95%置信区间:-1.0~0.13,P=0.13],差异无统计学意义。

图2:基线到20周时的pVO2值

图3:主要终点:pVO2的变化
次要终点
从基线到20周时,OM组和安慰剂组相比,总运动负荷的均值差为-5.4,具有统计学意义(P=0.025);通气效率的均值差为0.41,无统计学意义(P=0.51);日常活动的变化的均值差为0.30,无统计学意义(P=0.54)。通过腕动计记录的受试者的日常活动或服用OM后的感知功能也没有改善。

图4:次要终点事件的均值差
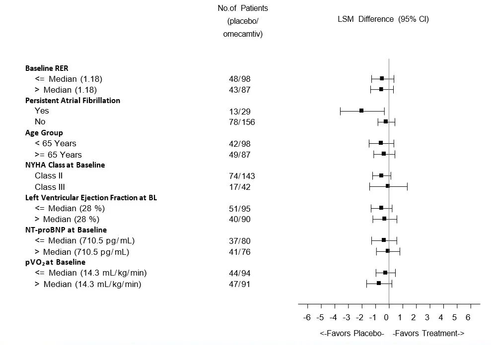
亚组分析
在持续性心房颤动亚组中,安慰剂的治疗效果较OM稍好。在其他亚组中,OM和安慰剂的治疗效果无明显差异。

图5:OM和安慰剂在各亚组的治疗效果分析
安全事件
不良事件、严重不良事件、永久性停药、心力衰竭、死亡、卒中和心肌梗死/因不稳定型心绞痛住院等安全事件方面,OM组和安慰剂组发生率都相似。
总结和展望
总体而言,METEORIC-HF研究的主要终点和次要终点事件在各组之间没有显著差异,OM在20周内没有改善HFrEF患者的运动耐力,总体安全性与安慰剂相当,没有发生与运动峰值相关的安全事件。该研究的主要作者Gregory D. Lewis, MD表示,在既往研究中OM被发现在降低HFrEF患者心血管死亡或首次心力衰竭事件时间方面具有显著的获益,但该药物不能帮助改善作为该疾病标志的日常功能受限。也许为期五个月的干预措施不足以逆转和克服心力衰竭对全身的总体影响。安全地提高HFrEF患者运动耐力的药物疗法仍然是一个尚未解决的挑战,需要不断进行探索。
参考文献
Presented by Dr. Gregory D. Lewis at the American College of Cardiology Annual Scientific Session (ACC 2022), Washington, DC, April 3, 2022.
责编:齐晨 邹长虹
审稿:张宇辉 黄燕