
研究背景
观察性研究表明流感会增加心血管(CV)事件和死亡风险。据报道,接种流感疫苗与缺血相关的CV事件和死亡的发生率降低有关。全球80%的心血管疾病负担发生在流感疫苗接种率较低的中低收入国家(LMIC)。IVVE试验的目的是评估在LMIC的症状性心力衰竭(HF)患者中接种流感疫苗的安全性和有效性。在ACC.22会议上发布的IVVE试验结果显示,尽管流感疫苗接种并未显著降低主要CV事件发生率,但接种流感疫苗可降低HF患者全年的肺炎发病率和住院率,且流感高峰期的主要CV事件减少。
研究设计
一项随机、双盲、安慰剂对照的临床试验旨在亚洲、中东和非洲十个国家的三个流感季节中,比较灭活流感疫苗与安慰剂对预防不良CV结局的作用。纳入标准为年龄≥18岁、临床诊断为HF和纽约心脏协会(NYHA)心功能分级II-IV级。排除标准为既往对流感疫苗有过敏反应、已知对鸡蛋有IgE介导的超敏反应、既往接种流感疫苗后8周内出现格林-巴利综合征、对新霉素过敏、过去2-3年内接种过流感疫苗,以及患有需进行修复或置换的严重心脏瓣膜病。最终纳入5129名符合条件的HF患者,按照1:1随机分配至接受肌肉注射0.5 ml灭活流感疫苗(n=2560)组或安慰剂组(0.5 ml生理盐水,n=2569),在每年三个流感季节中都注射疫苗,随访时间为36个月。第一主要终点为CV死亡、非致死性心肌梗死(MI)和非致死性卒中的复合终点,第二主要终点包括第一主要终点和HF住院;次要终点包括第一主要终点、全因住院、肺炎及全因死亡。
研究结果
患者平均年龄为57岁,女性占比51%,其他基线特征如下图。
表1:患者的基线特征

表2:患者的心衰情况

表3:患者的合并症情况

表4:患者的药物治疗情况

接种流感疫苗组与安慰剂组相比,第一主要终点(即36个月内首次心血管死亡、非致死性MI和非致死性卒中的复合终点)的发生率分别为14.8% vs. 16%(风险比[HR] 0.93,95% 置信区间[CI] 0.81-1.07;P=0.30),两组间无显著差异。同样,接种流感疫苗组与安慰剂组相比,第二主要终点的发生率也无显著差异(20.3% vs. 22.1%,HR 0.91,95% CI 0.81-1.03;P=0.13)。但对全因住院和肺炎单独分析时发现,与安慰剂组相比,接种流感疫苗组的全因住院率和肺炎发生率显著降低,全因住院率分别为15.2% vs. 17.1%(HR 0.84,95% CI 0.74-0.97;P=0.01),肺炎发生率分别为2.4% vs. 4.0%(HR 0.58,95% CI 0.42-0.80;P=0.0006)。
表5:接种流感疫苗组与安慰剂组首次事件发生风险的比较

对复发事件的分析表明,接种流感疫苗组和安慰剂组的第二主要终点发生率也没有明显差异(P=0.08)。但接种流感疫苗组的全因住院率相比安慰剂组显著降低(21.8% vs. 26.1%,HR 0.83,95% CI 0.74-0.93;P=0.001)。
表6:接种流感疫苗组与安慰剂组复发事件发生风险的比较

根据是否处于流感高峰期进行的分层分析表明,在流感高峰期,与安慰剂组相比,接种流感疫苗组的第一主要终点、全因死亡、心血管死亡和肺炎的发生率都有所降低(P值均<0.05) 。
表7:流感高峰期和非流感高峰期首次事件发生风险的比较

Kaplan-Meier分析发现,接种流感疫苗组和安慰剂组相比,首次第一和第二主要终点事件的发生风险均无显著差异,累计风险比相似,分别为0.93(95%CI 0.81-1.07)和0.92(95%CI 0.81-1.03)。

图1:首次主要终点事件的Kaplan-Meier生存分析
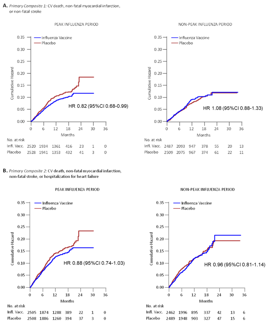
在流感高峰期和非高峰期,对主要终点进行Kaplan-Meier分析。随着随访时间的推移,在流感高峰期,接种流感疫苗组的累计事件发生风险明显低于安慰剂组,尤其是在24个月后。第一和第二主要终点发生的累计风险比分别为0.8(95%CI 0.68-0.99)和0.88(95%CI 0.74-1.03)。在非流感高峰期,接种流感疫苗组和安慰剂组的累计事件发生风险无明显差异。上述数据表明在流感高峰期,接种流感疫苗能减少主要终点事件的发生。

图2:流感高峰期和非高峰期第一主要终点和第二主要终点的Kaplan-Meier生存分析
总结与展望
试验结果表明,在中低收入国家的症状性HF患者中,与接种安慰剂相比,接种流感疫苗并未显著改善心血管结局,但却明显降低了全因住院率和肺炎发生率。此外,在流感高峰期,接种流感疫苗组的第一主要终点、全因死亡和肺炎发生率较安慰剂组均有所降低。尽管两组的预设终点差异并不显著,但鉴于在流感高峰期接种流感疫苗组的肺炎发生率、全因住院以及CV事件和死亡的减少,说明接种流感疫苗有一定的临床获益。由于新型冠状病毒肺炎流行,这项研究在四个国家提前终止,建议今后进行更多的临床试验和大规模的观察性研究,以进一步阐明流感疫苗接种对心血管疾病患者的健康益处。
参考文献
Presented by Dr. Mark Loeb at the American College of Cardiology Annual Scientific Session (ACC 2022), Washington, DC, April 3, 2022.
责编:冯佳禹 刘慧慧
审稿:张宇辉