

中国35-74岁的人群中,现患有400万患者,慢性心衰发病率为0.9%,CHF患者住院30d死亡率5.4%。

我国42家不同医院10714例心衰住院病例回顾性调查,主要死亡原因为左心功能衰竭59%,心律失常13%,猝死13%。

中国心力衰竭诊断和治疗指南 2014
美国慢性心衰患病率逐年增加


美国每年新增等待心脏移植数量呈上升趋势


供心来源发生根本改变
2015年1月1日起,中国停止了死囚器官的使用,器官移植完全来自于公民的自愿捐献。同时,黄洁夫获顾氏国际和平奖标志着中国器官移植进入阳光地带,中国器官移植界终获国际社会认可,并且中国器官移植国际形象得到巨大提升。

黄洁夫 中国器官捐献网 20151125

供/受比失衡,捐献率低
每年等待器官移植患者约30万人,每年器官移植数量仅约1万例,供需比例约1:30

截至2014年世界DCD捐献每百万人口数排名

截至2014年亚洲DCD捐献每百万人口数排名

2010年至2015年各地捐献数量及比例

2010-2015年平均日捐献数量统计

现阶段器官捐献分类标准造成大量供心丢失

供心维护及质量评估缺乏统一规范
一、非移植医院多为二甲医院,供体维护技术条件有限
二、供体捐献前为维持正常肝肾灌注常常以牺牲心脏功能为代价
三、大剂量血管血管活性药物泵入进一步加速心功能恶化
四、获取前供心质量评估国内暂无统一标准
五、器官灌注及保存方法各中心暂无统一规范


随着心肌保护、免疫抑制、心脏辅助及术后监护的发展,常规供心选择标准不断被突破。

2016心脏移植指南主要变化(ISHLT)
1、对于超重的心衰患者,新标准要求医生推荐减重项目,将患者体质指数(BMI)降至<35 kg/m2,而非先前是30kg/m2。放宽BMI目标是基于新的循证证据,可让更多患者获得移植的机会。
2、由于新证据对心衰生存评分(HFSS)的预测准确性提出质疑, ISHLT建议,只有在预后不确定的情况下,才使用HFSS评估。
3、建议所有等待心脏移植的成年患者定期进行右心导管检查, 直至移植之日。不推荐儿童患者常规进行定期右心导管检查。
4、对于存在潜在可逆或可治疗合并症(如癌症、肥胖、肾功能衰竭、吸烟、药物治疗不可逆性肺动脉高压)的患者,考虑机械循环支持,然后重新评估是否适合心脏移植。
5、任何在门诊中无法获得充分社会支持的患者,被视为移植的相对禁忌。严重的认知- 行为障碍或痴呆患者(如自残、无法理解和配合治疗),心脏移植的获益尚未明确,甚至可能有害,因此不推荐这些患者进行心脏移植。
6、HIV 感染、肝炎、查加斯病甚至结核病患者,如果治疗团队能严格遵守管理原则,可考虑进行心脏移植。
指南主要针对受体选择进行内容更新,而供体选择并未见明显变化,研究空间大。
中美器官移植费用对比

2010版ISHLT指南常规供心定义
1、年龄<45岁心脏耐受力强,最宜选择。45~55岁供者缺血时间≤4h,建议应用于情况稳定受者。(Ⅱa 类推荐,B 级证据)
2、供心缺血时间:心肌缺血时间应少于4h。年轻供者、未使用正性肌力药物,可考虑使用>4h供心。(Ⅰ类推荐,C 级证据)
3、供-受者体重比:70%范围安全。(Ⅰ类推荐,C 级证据)
4、需大剂量正性肌力药物支持( 多巴胺剂量>20ugkg-1min-1或相似剂量的其他肾上腺素能药物)需弃用(Ⅰ类推荐, B 级证据)
边缘供心标准不一

武汉协和边缘供心标准
1、供心多巴胺或多巴酚丁胺>15ug/kg/min;去甲肾上腺素、肾上腺素用量>0.5ug/kg/min的使用
2、供体年龄≥50岁
3、供受体重比小于0.8
4、供体冷缺血时间大于6小时
5、供受体ABO Rh血型系统相容但不相同
6、供心心脏结构轻中度异常(冠脉斑块形成或房间隔缺损)
注:凡符合其中1条或多条均视为边缘供心





1、边缘供心组较标准供心组拥有更长的体外循环时间:(117.22±40.58)min 对(104.24±31.49)min。P<0.05
2、两组患者在术后ICU停留时间、术后总引流量、出血过多再次开胸、术后感染发生率、神经系统并发症发证率方面无统计学差异。
器械支持治疗:边缘供心组需要更高的术后IABP辅助率(P<0.05)

边缘供心组多巴酚丁胺和异丙肾上腺素使用率更高,P<0.05

两组患者附肾和多巴胺的使用天数无统计学差异



其它包括股骨头坏死,皮肤病变,肿瘤。肾功能不全定义SCr>133。肝功能异常定义TB>19或ALT>40。
非免疫抑制剂相关并发症:标准供心组术后3年会出现更多的中量三尖瓣反流



1、定义移植物失功相关终点事件为:死亡、再次心脏移植、血流动力学紊乱(包含下列项目≥1:LVEF ≤40%或下降值超过相对于第一次随访值的25%;需要机械辅助循环)
2、卡方=0.836,P=0.361>0.05,两组患者3年内发生移植物失功终点事件概率无统计学差异。

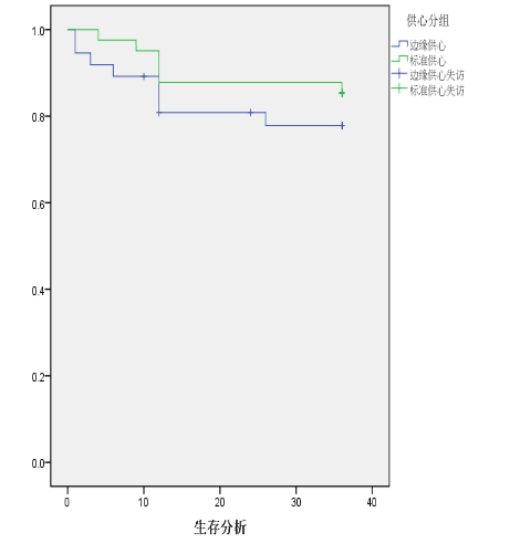
卡方=2.048,P=0.152>0.05,边缘供心组与标准供心组中远期生存率无统计学差异。




冷缺血时间大于6小时组n=111,冷缺血时间小于6小时组n=189,P=0.205>0.05


供体年龄≥50组n=25,供体年龄<50组n=275,P=0.363>0.05


体重比<0.8组n=54,体重比≥0.8组n=246,P=0.065>0.05


血型相容但不同组n=47,血型相同组n=253,P=0.857>0.05
1、冷缺血时间:大于8h赋值2,6到8h赋值1,小于等于6h赋值0
2、供体受体血型:血型不同赋值为1,血型相同赋值为0
3、供体受体体重比:体重比小于0.8赋值为1,体重比大于等于0.8赋值为0
4、供体年龄:大于等于50赋值为2,40到50赋值为1,小于40赋值为0

两组冲击治疗的急性排斥反应发生率无统计学差异


注:急性排斥反应主要以临床综合判断为主


在患者出现症状或定期随访过程中冠脉CTA示冠脉主要分支≥50%狭窄和(或)2级分支的远段≥50%狭窄即可诊断为CAV。分级如下:
1、CAV0:未见狭窄。
2、CAV1:在没有移植物失功的情况下,左主干狭窄<50%,或主要分支狭窄<70%,或者任何其它分支狭窄<70%(可以是弥漫性病变)。
3、CAV2:在没有移植物失功的情况下,左主干狭窄<50%;单个主要分支狭窄≥70%,或者2个系统中某个分支狭窄≥70%。
4、CAV3:左主干狭窄≥50%,或有两支以上的主要狭窄≥70%,或3个系统中某个分支狭窄≥70%;或CAV1或CAV2伴有移植物失功(LVEF<45%且常常伴有室壁运动障碍)。
主要分支定义为近中1/3的前降支,左回旋支,中间支,包含后降支和后侧支(左室后支)的右冠。
其余分支代表远段1/3的主要分支或室间隔穿支,对角支,钝缘支的任何部分,或右冠任何非主要分支。
标准供心组(n=9):
1、5例患者冠脉CTA结果阴性
2、1例术后5年后来我院心内科因右冠堵塞死亡
3、1例CTA LAD40%-60%
4、2例CTA示LAD轻度狭窄
边缘供心组(n=9):
1、4例患者冠脉CTA结果阴性
2、1例CTA未见明显粥样硬化斑块,前降支中段壁冠状动脉
3、1例CTA LAD近段偏心增厚
4、3例CTA示LAD管壁增厚,未见狭窄


边缘供心组相对于标准供心组比较,随访CTA并未见明显冠脉病变。