

在2017中国国际心力衰竭大会(CIHFC)暨中国医师协会心力衰竭专业委员会年会上,来自北京清华长庚医院的张萍教授为我们带来了“CRT治疗无反应的处理 ”的精彩报告。


一.CRT无反应的定义
[1]

CRT无反应衡量标准
衡量标准的多样性

衡量时间的多样性



衡量标准的多样性

↓↓↓↓↓↓
各指标的一致性差
[2]

超声标准与临床硬终点事件相关性最强
敏感度87%,特异度69%
[3]


二.CRT无反应的原因
术前患者选择
非LBBB、QRS时程短、缺血性心肌病、高龄、男性、肾功能不全、右心功能不全、心房颤动、无机械失同步表现。
非LBBB、窄QRS波降低CRT反应性
[4]

左室瘢痕造成CRT无反应
◆入选397例缺血性心衰患者
◆二维斑点追踪技术
▶评价机械同步性
▶识别心肌瘢痕
◆左室瘢痕造成CRT无反应
▶左室电极位于瘢痕组织中
▶大量瘢痕降低再同步化效能
▶瘢痕增加左室传导各向异性
[5]

术前患者选择
非LBBB、QRS时程<150ms、缺血性心肌病、高龄、男性、肾功能不全、右心功能不全、心房颤动、无机械失同步表现。
术中电极植入
靶静脉选择欠佳、左室起搏位点远离最晚激动处(左室激动顺序标测)、左室起搏位点周围较大面积瘢痕区(DE-CMR)
左室电极位置影响CRT反应性
◆左室电极位于心尖、前壁可能造成CRT无反应
非激动延迟区域
与右室电极距离过近
[6]


术前患者选择
非LBBB、QRS时程<150ms、缺血性心肌病、高龄、男性、肾功能不全、右心功能不全、心房颤动、无机械失同步表现。
术中电极植入
靶静脉选择欠佳、左室起搏位点远离最晚激动处(左室激动顺序标测)、左室起搏位点周围较大面积瘢痕区(DE-CMR)
术后参数优化、随访
未优化药物治疗、心室起搏比例较低、房颤室率控制欠佳、CRT参数优化问题(AV不同步、VV不同步)、导线脱位
术后出现CRT反应需考虑
[7]

CRT无反应的常见原因
[8]


二.CRT无反应的原因
CRT无反应的处理策略
术前患者选择
LBBB、QRS时程>150ms、非缺血性心肌病、窦性心律、非终末期心衰、影像学方法识别无反应高危人群
目前指南推荐CRT植入适应证
[9]

DE-CMR预测CRT无反应
[10]
◆入选28例CRT植入患者
◆应用DE-CMR评价心肌瘢痕
◆CRT无反应组中瘢痕负荷显著高于有反应组
◆瘢痕负荷和临床、超声指标改善程度呈反比
◆DE-CMR中瘢痕负荷>15%预测CRT无反应的灵敏度为85%,特异度为90%

无创电解剖标测预测CRT无反应
[11]
◆入选33例CRT植入者
◆应用无创电解剖标测评价心室激动时间、顺序
◆LBBB与非特异性室内传导阻滞


CRT无反应的处理策略
【术前患者选择】
LBBB、QRS时程>150ms、非缺血性心肌病、窦性心律、非终末期心衰、影像学方法识别无反应高危人群
【术中电极植入】
左室激动顺序标测、影像学技术指导左室电极植入,单电极多部位起搏,多电极多部位起搏,左室内膜起搏等技术
TARGET研究:影像学指导左室电极植入改善CRT反应率
[12]


单电极多部位起搏 (MPP)

MPP is an upgraded form of CRT, which provides numerous alternative pacing sites and vectors, and involves the pacing of multiple sites within the same coronary sinus vein by means of a single quadripolar lead.
MPP改善双室电同步性
——入选10例患者的急性期观察
[13]

MPP改善左室机械同步性

MPP could shorten standard difference of time to peak contraction and early to late segment delay.
MPP改善急性血流动力学

MPP could provide extra hemodynamic advantages beyond the conventional CRT in most patients.
MPP长期随访结果
——12个月的随访结果
[16]

LV end-systolic volume, LV ejection fraction, and the NYHA class change in MPP group were remarkably improved compared with that of the conventional group after a 12-month-followup.
亚组分析:MPP与CRT无反应者
[17]

In CRT non-responders, MPP increased the dP/dt max and decrease the ventricular activation time.
亚组分析:MPP与缺血性心衰

The improvement of LV end-systolic volume, LV ejection fraction and the NYHA class was similar in patients with or without ischemic heart failure.
MPP的临床作用

左室多电极起搏
♦多中心单盲交叉对照研究
♦入选40例心衰患者
♦2根左室电极植入冠状静脉窦不同属支
♦手术相关并发症
▶冠状静脉窦夹层1例
♦对双室机械同步性无明显改善
♦改善左室逆重构
[18]
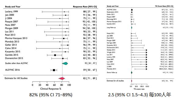
左室心内膜起搏

室心内膜起搏
——入选23项研究384例患者的Meta分析
[20]


术前患者选择
LBBB、QRS时程>150ms、非缺血性心肌病、窦性心律、非终末期心衰、影像学方法识别无反应高危人群
术中电极植入
左室激动顺序标测、DE-CMR等技术指导左室电极植入,单电极多部位起搏,多电极起搏,左室内膜起搏等技术
术后参数优化、随访
优化药物治疗、超声指导下CRT参数优化(AV、VV同步性)、提高心室起搏比例
优化参数设置与CRT反应性
[21]

心室起搏比例与CRT反应性

AVN消融+CRT改善房颤患者预后
[22]

CRT术后3月无反应处理流程
[23]


三、小结
CRT无反应的定义
约1/3的患者为CRT治疗无反应者,CRT无反应的标准尚未统一,采用LVEF、LVESV、LVEDV等指标能够反应心室逆重构,与临床硬终点相关性较好
CRT无反应的原因
包含了患者选择、术中电极植入、术后CRT参数优化及随访等诸多方面
CRT无反应的处理
遵循指南、采用影像学优化患者选择、MPP植入、优化CRT参数设置等措施均能够改善CRT无反应
[1]Leyva F et al. J Am Coll Cardiol. 2014;64:1047.
[2]Yu CM et al. Circulation. 2002;105:438
[3]Yu CM et al. Circulation. 2005;112:1580.
[4]Gold MR et al. Circulation. 2012;126:822.
Stavrakis S et al. J Cardiovasc Electrophysiol. 2012;23:163.
[5]Delgado V et al. Circulation. 2011;123:70
[6]Shanks M et al. Am Heart J. 2011;161:552.
Singh JP et al. Circulation. 2011;123:1159.
[7]Upadhyay GA et al. J Am Coll Cardiol. 2008;52:1239.
[8]Mullens W et al. J Am Coll Cardiol. 2009;53:765.
[9]Brignole M et al. Eur Heart J. 2013;34:2281
[10]White JA, et al. J Am Coll Cardiol 2006;48:1953.
[11]Ploux S et al. J Am Coll Cardiol 2013;61:2435
[12]Khan FZ et al. J Am Coll Cardiol 2012;59:1509.
[13]Menardi E et al. Heart Rhythm 2015;12:1762.
[14]Rinaldi CA et al. J Cardiac Fail. 2013;19:731.
[15]Thibault B et al. Europace. 2013; 15:984
[16]Pappone C et al. Heart Rhythm. 2015;12:1250
[17]Sohal M et al. Heart Rhythm. 2015;12:2449
[18]Leclercq C et al. J Am Coll Cardiol 2008;51:1455.
[19]
Morgan JM
Eur Heart J. 2016;37:2118
Morgan JM
Europace. 2009;11:502.
Kassai I
Europace. 2011;13:1653.
[20]Gamble JH et al. Europace. 2017 Jan.[Epub ahead of print]
[21]Kosmala W, et al. Am J Cardiol 2014; 113:988.
Auger D, et al. Am Heart J 2013; 166:20.
[22]Gasparini M et al. JACC Heart Fail. 2013;1:500
[23]Zhang Q et al. Curr Opin Cardiol. 2015;30:40.
专家简介

张萍教授
内科部副部长、教授、博士生导师、主任医师、心内科主任
擅长心律失常的诊断和药物、导管消融及器械置入(包括起搏器、ICD、CRT/CRT-D、植入式Holter)治疗。在国内率先建立了晕厥与心脏性猝死防治高危因素筛查流程和随访体系,在遗传性心律失常的临床和遗传学诊治方面做出了出色的工作。在冠心病、高血压、心力衰竭、疑难心血管疾病诊治和危重症心血管疾病抢救方面具有丰富的经验和高超的医术,也是国内著名的无创心电学技术应用和疑难心电图分析专家。
◆研究方向
1.心房颤动发生发展的分子机制及B受体亚型、缝隙连接蛋白的作用;
2.利用骨髓间充质干细胞开展了生物学起搏研究和心肌损伤修复的实验及临床研究;
3.建立了晕厥和猝死相关的遗传性心律失常生物样本库,报道了中国第一例SQT的新突变。并将建立晕厥猝死高危患者的评价体系;
4.拟将建立慢性心力衰竭一体化管理模式。现发表论文90余篇,先后承担十二五科技支撑计划、国家自然科学基金、北京市多项基金等自助,并曾获中华医学科技三等奖、华夏医学三等奖、教育部自然科学二等奖,北京市科技进步二等奖。2013年获中国心律学会颁发的“中国起搏杰出贡献奖”。
。
◆学术职务
中国生物工程学会心律学分会常委兼秘书长,中国医药生物技术学会心电学分会常委兼副秘书长,中国医师学会心律学分会全国委员,中华医学会起搏与电生理分会起搏学组委员,海峡两岸医药卫生交流协会心血管专业委员会常委,北京市医师学会女医师分会内科工作委员会副主任委员,国家医学考试中心心血管内科专科医师考试专家委员会委员,国家药品食品监督局器械评审专家,北京市科委专家库成员,《中华心脏与心律电子杂志》副主编、《中华心律失常杂志》编委、《中华老年多器官杂志》编委、《临床心电学杂志》常务编委。