



♦21世纪心血管领域两个新的流行病:房颤和心衰
♦初诊房颤有26%伴有心衰史,以后还有6%发生心衰
初诊心衰有24%伴有房颤史,以后还有7%发生房颤
♦Framingham研究:NYHA心功能I级患者房颤发生率4%,NYHA心功能IV级患者房颤发生率高达40%
AF导致HF,HF导致AF
[1]

近年来相关的指南与共识

♦抗栓治疗
♦控制室率:药物房室结消融
♦转复心律:药物加电复律射频消融
控制室率


控制室率:房室结消融+心室起搏
♦AVN消融+VVIR
♦AVN消融+CRT
♦AVN消融+His起搏
AVAIL CLS/CRT研究显示房室结消融+BVP比较RVP在生活质量、NYHA心功能分级及LVEF有显著优势(N=108)
[2]

Michele Brignole等报道显示:AVN消融+BVP(n=97)比较RVAP(n=89)在全因死亡率、因心衰或加重而住院/死亡方面有明显优势
[3]



♦6个研究AVN,共纳入768例CRT-AF
♦339例房室结消融,429例药物控制心室率
♦旨在评价房室结消融在接受CRT治疗的心衰伴房颤中的作用


♦纳入7384例CRT患者,欧洲95中心大型前瞻性研究
♦平均术后随访37个月
♦旨在评价心衰合并房颤并接受CRT治疗的患者中,房室结消融和药物控制心室率相比是否可以改善患者预后
分为窦性心律(SR)组、AF+drug组及AF+AVJA组
SR、AF+ANJA组均较AF+drug组明显降低全因及心源性死亡率

♦AF伴心衰并接受CRT治疗的患者AVN消融比药物控制心室率显著降低全因死亡及心血管死亡,改善NYHA分级
♦有效双室起搏比例低是限制CRT作用的重要因素
♦AF患者AVN消融,显著改善CRT疗效


控制室率:房室结消融+His起搏

房室结消融+HBP的研究
小样本临床研究均提示HBP安全、有效保护心功能

房室结消融+HBP的优缺点
【优点】
♦费用低(只植入DDD非CRT),如希氏束起搏成熟可植入VVIR
♦无植入左室电极相关的术中及术后问题
♦可用于窄QRS波的心衰合并房颤患者
♦理论上比CRT更生理(双室除极完全正常)
【缺点】
♦手术复杂
♦不适合所有心衰合并房颤患者(宽QRS波不适用)
♦尚不能确定获益来自室率的规整和/或希氏束起搏本身
♦HIS起搏的长期稳定性问题
♦缺乏大规模临床研究证据
节律控制

♦药物复律对7天内房颤效果确切,对持续性、永久性房颤效果差
♦持续性房颤伴血流动力学变化,包括进行性心肌缺血、症状性低血压、心力衰竭首选电复律(IC)
♦胺碘酮可提高电复律的成功率,降低复律后房颤复发比例
♦药物+电复律仍然是临床上可以个体化采取的姑息疗法
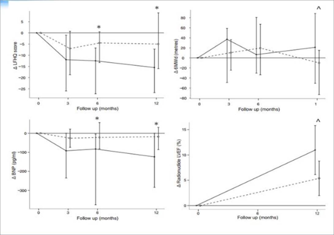
DG jones等的研究
AF射频消融VS药物控制心室率
[3]
♦前瞻,多中心,随机对照
♦持续性房颤(>7天);EF≤35%,NYHA II-IV(N=52)
♦随机分组:
---射频消融组 :26例
---药物控制室率组:26例
♦3、6、12个月随访
♦初级终点:peak VO2,6MWD,BNP,LVEF

初级终点:peak VO2射频消融组显著优于药物控制心室率组

生活质量评分,6MWD,BNP,LVEF射频消融组显著优于药物控制心室率组
♦心衰合并AF射频消融优于药物控制心室率

♦58例AF伴CHF,EF<45%
♦匹配58例AF无CHF
♦平均随访12±7月
♦旨在评估射频消融在心衰伴房颤患者中对心功能的影响
两组患者基线参数有差异

消融结果

心衰组消融后LVEF及左室重构改善

与不合并心衰的AF患者相比,合并心衰的AF患者导管消融的安全性、成功率无差异,且能改善心功能、症状、运动能力及生活质量
PABA-CHF研究AF射频消融VS.AVN消融+双室起搏

♦前瞻,多中心,随机对照
♦症状性、药物治疗无效AF;EF≤40%,NYHA II-III(N=81)
♦随机分组:
---PVI :41例
---AVNA+BVP:40例
PABA-CHF研究


心衰伴药物难治AF
PVI优于AVN消融后双心室起搏
[5]

♦26个研究,1838例患者
♦平均随访时间23个月
♦至随访结束窦律维持率:60%(54-67%)
♦旨在评估射频消融对心衰合并AF患者的安全性及长期有效性,并评估房颤复发的预测
术后改善


♦心衰伴AF,在房颤及心衰早期导管消融,可改善心功能
♦AF射频消融对心功能有益,显著减少严重收缩功能异常患者数量
♦多项研究肯定了导管消融治疗心衰伴房颤的疗效,但这些研究存在入选病例少,随访时间短,选用了软终点等缺陷

总 结
♦房颤和心衰互为因果
♦抗栓治疗是房颤治疗策略中重要的一环
♦药物+电复律仍然是临床上可以个体化采取的姑息疗法
♦宽QRS伴AF 的心衰患者可以应用CRT(IIa),但强调100%心室起搏,必要时可行房室结消融
♦消融房室结+RAV起搏缺乏足够的临床证据支持
♦消融房室结+双室起搏对室率难以控制的心衰伴房颤患者为IIa类适应症
♦消融房室结+希氏束起搏对室率控制不佳的窄QRS波心衰患者是值得进一步研究的方法
♦射频消融可根治房颤,但仍需要大规模随机对照研究
参考文献
[1]Am J Cardiol. 2003; 91(suppl): 2
[2]Am Heart J 2010;159;264-70
[3]European Heart Journal(2011)32,2420-2429
[4]J Am Coll Cardiol 2013 May 7;61(18):1894-903
[5]circ Arrhythm Electrophysiol.2014;7:1011-1018