1
心力衰竭国际学院暨2019心力衰竭治疗研讨会期间,哈尔滨医科大学附属第二医院张瑶教授为我们分享了关于《HFmrEF相关研究进展及最新指南建议》的精彩报告,现将其精华内容整理如下。
Reasons to formally identify HFmrEF as a separate group include :
1.evidence suggesting that patients with HFmrEF respond differently to treatment compared to patients with heart failure with preserved EF (HFpEF)
有证据显示HFmrEF对治疗的反应是有别于HFpEF的
2.stimulate research into the underlying characteristics, pathophysiology and treatment of this group of patients as stated in the 2016 ESC guidelines
为了鼓励更多的关于对此类“灰色地带”人群的特征、病理生理及治疗方面的研究
Eur J Heart Fail. 2017 Dec;19(12):1569-1573.
1.Even before the introduction of HFmrEF as a separate category, it was questioned whether heart failure with reduced EF (HFrEF) and HFpEF are two entirely different syndromes or just two ends of the same disease spectrum, or whether HFpEF is merely a manifestation of ageing and age-related co-morbidities.
在引入HFmrEF之前,学者们一直在质疑关于HFrEF和 HFpEF是否是一种疾病的两端或HFpEF只是一种心脏老化的表现或老年相关合并症。
2.From a pathophysiological point of view, there are marked differences between HFpEF and HFrEF
从病理生理的角度看, HFrEF和HFpEF有着明显的不同。
3.With the introduction of HFmrEF, it is questioned whether HFmrEF looks more like HFpEF or more like HFrEF.
Eur J Heart Fail. 2017 Dec;19(12):1569-1573.
The European Society of Cardiology Heart Failure Long-Term Registry
是一个前瞻性、观察性研究,共收集9134例心衰患者流行病学资料并随访1年。
小结
HFmrEF患者发病率约占心衰患者总数的10%-20%,随着年龄的增长发病率略有增加
report on 9134 patients in the ESC Heart Failure Long‐Term Registry
缺血性心肌病各占 48.6% of HFrEF , 41.8% of HFmrEF , 23.7% of HFpEF ;扩张型心肌病分别为35.1% of HFrEF , 27.6% of HFmrEF , 11.6% of HFpEF

In the Swedish Heart Failure registry of 42987 patients, percentages of ischaemic heart disease were 60% for HFrEF, 61% for HFmrEF, and 52% for HFpEF

➤Washington University HF登记 HFmrEF患者统计结果

HFmrEF组患者绝大多数为特发性扩张型心肌病(65%),其次为缺血性心脏病(20%)
小结
HFmrEF患者的主要病因以缺血性心肌病及扩张型心肌病为主
➤Washington University HF登记
HFmrEF组的NYHA功能类分布为:I级18%,II级61%,III级18%,IV级4%
European journal of heart failure, 2017, 19(12): 1597-1605.
HFmrEF与HFrEF在临床特点与合并症上更接近,患者通常比HFpEF更年轻,且男性居多,而且二者在CAD的患病率较高、新发IHD事件的风险也较高。
Cardiac failure review, 2018, 4(1): 9-13.
➤房颤:PINNACLE研究
HFmrEF患者更容易发生房颤/房扑、慢性肾病和糖尿病(P均< 0.001)

➤房颤:Swedish Heart Failure registry
— AF在HFpEF, HFmrEF更容易出现( 65%、60%,HFrEF 53% )。
— AF在各型HF中男性发病率高,年龄越大发病率越高。

➤慢性肾病:Swedish Heart Failure registry

中位数900天(369-1669),总体有10862人死亡,伴发CKD的各组无论近期还是远期死亡率相近

在无CKD伴发的情况下, HFpEF的 1-year, 5-year, overall, and long-term 死亡率均高于 HFmrEF 及 HFrEF。

小结
1.HFmrEF患者的房颤/房扑发病率、尤其在男性患者中的发病率较高(与HFrEF相比),且与年龄正相关;
3.不合并CKD的各类心衰中,HFpEF的死亡率最高。
Improvement of EF from HFrEF to HFmrEF correlates with a signifcantly better prognosis than patients who remain in ‘stable HFmrEF’. Patients who deteriorate from HFpEF to HFmrEF seem to have a prognosis that is slightly worse than ‘stable HFmrEF’.
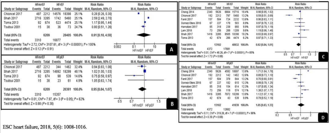
ESC Heart Failure Long‐Term Registry

➣ HFmrEF的全因死亡率明显低于HFrEF (RR, 0.9; 95% CI, 0.85-0.94; P<0.001),而与HFpEF相比无显著性差异(RR, 0.98; 95% CI,0.86-1.12; P = 0.82)。
心源性和非心源性死亡率:
➣ 心源性死亡率, HFmrEF与 HFrEF之间无显著差异(RR, 0.89;95% CI, 0.69-1.15; P= 0.38),但明显低于 HFpEF (RR, 1.09; 95% CI, 1.02-1.16; P = 0.001)。
➣ 非心源性死亡率,HFmrEF 与HFpEF之间无显著差异(RR, 0.91; 95% CI, 0.75-1.09; P = 0.3),但明显低于 HFrEF(RR, 1.31; 95% CI, 1.22-1.41)。

➣全因住院率,各类型心衰之间无明显差异(分别为RR, 0.91; 95% CI, 0.18 4.59;P=0.9和RR, 0.95; 95% CI, 0.84-1.07; P=0.38)
➣心衰相关住院率, 各类型心衰之间也无显著差异(分别为RR, 0.92; 95% CI, 0.84-1.01; P=0.08和RR, 1.05; 95% CI, 0.83-1.33; P=0.69)

➤Washington University HF登记
将HFmrEF患者与其年龄和性别匹配的HFrEF患者(n = 102)和HFpEF患者(n = 82)的临床结果进行分析,结果如下:
HFmrEF患者发生死亡、心脏移植或心源性住院的复合终点事件明显低于HFrEF患者(P < 0.001),而HFpEF患者相比无明显差别(P = 0.27)。

➤短期死亡率

— 但对自变量调整后,三组患者的生存曲线接近,无统计学意义

住院死亡率:
the Get With The Guidelines-HF ( GWTG-HF )数据库,比较了自2005年1月到2013年9月,来自305家共99,825例心衰住院患者,发现住院死亡率 HFmrEF较 HFrEF 及HFpEF明显降低(分别为 2.6% 、 3.2% 及3.0% )。

➤KorAHF 登记
住院期间AHF最常见的死亡原因是泵衰竭(HF恶化,51.5%),其次是ACS(24.7%)。各类型死亡原因比例如下图所示:
— 而在HFmrEF患者中,ACS与泵衰竭是死亡的主要原因。

感染、肺淤血及药物依从性差是HFmrEF住院死亡率的主要危险因素
JACC Heart Fail. 2016 Jun;4(6):464-72.

BMI和HF的缺血性病因及高血压史是HFmrEF患者住院期间死亡的重要预测因素,与住院死亡率有显著相关性。
Circulation Journal, 2019, 83(2): 347-356.
小结
1.HFmrEF患者的1年死亡率居HFrEF与HFpEF之间,死亡年龄偏小;
2.HFmrEF患者全因死亡率小于HFrEF,非心源性死亡率小于HFrEF,心源性死亡率小于HFpEF;全因住院率及因心衰住院率各类型心衰相似;
4.住院期间HFmrEF的死亡率较 HFrEF 及HFpEF明显降低,死亡原因主要是泵衰竭与ACS;感染、肺淤血及药物依从性差是与死亡率相关的主要危险因素;而BMI、心肌缺血及高血压病史是HFmrEF患者住院期间死亡的重要预测因素。
迄今为止,还没有专门对HFmrEF患者进行前瞻性研究,所有的分析和相关建议都是基于包含HFmrEF患者在内的HFrEF和/或HFpEF研究的事后分析。
Eur J Heart Fail. 2019 May 26. doi: 10.1002/ejhf.1531. [Epub ahead of print]
• 目前在没有明确治疗原则或指南的前提下,临床医生对HFmrEF患者的治疗类似于HFrEF,相当数量的患者应用GDMT如ACEI/ ARB和β受体阻断剂。
• 同时,HFmrEF患者接受袢利尿剂或噻嗪类利尿剂的比例也与HFrEF相近。

➤Washington University HF登记

• 虽然 HFrEF整体使用指南指导的药物治疗比例非常高( β-受体阻滞剂为88%,ACEI/ARB为86%,醛固酮受体拮抗剂为42%。大多数患者使用襻利尿剂69%),但三个亚组间用药情况无统计学差异;
• HFmrEF改善组患者使用地高辛的比例似乎较高,而HFmrEF恶化组患者使用钙通道阻滞剂的比例较高
European journal of heart failure, 2017, 19(12): 1597-1605.
➤KorAHF 登记
HFpEF、HFmrEF和HFrEF急性心力衰竭患者住院期间和出院后药物治疗情况

正性肌力药物和利尿剂在HFrEF中使用最多,而在HFmrEF中使用最多的是血管扩张剂
Circulation Journal, 2019, 83(2): 347-356.
BBmeta-HF进行了一项个体患者水平的双盲、随机研究,根据基线LVEF和心律进行分层,共纳入11项临床试验患者数据进行荟萃分析,并与安慰剂进行比较,主要终点事件为1.3年以上全因和心血管疾病死亡率,次要终点事件为心血管疾病住院和心血管疾病死亡/住院率。其中LVEF 40%-49%(HFmrEF)的窦性心率患者为575例(缺血性病因91%,NYHA III-IV类24%,ACE-I/ARB - 91%, MRA - 6%,利尿剂- 65%)。
全因死亡率:β受体阻滞剂为7.2% vs. 安慰剂组12.4% ( HR 0.59; 95% CI, 0.34–1.03)
心血管死亡率:β受体阻滞剂为4.5% vs. 安慰剂组9.2% ( HR 0.48; 95% CI, 0.24–0.97)
• 与安慰剂组相比,β-受体阻滞剂降低了HFmrEF窦性心率患者的全因和心血管死亡风险

• 与安慰剂相比,β受体阻滞剂可以增加基线时LVEF<50%患者的左室射血分数;
• 但对于房颤患者,β受体阻滞剂对其主要终点事件(全因和心血管疾病死亡率)和次要临床终点事件(心血管疾病住院和心血管疾病死亡/住院率)均无影响

CHARM研究共纳入了7598例心衰患者进行回顾性分析,比较分析坎地沙坦与安慰剂组对HFrEF、HFmrEF和HFpEF患者临床结果的影响。主要终点事件为心血管死亡率和心衰住院率。其中HFrEF患者4323例(57%) ,HFmrEF患者1322例,HFpEF患者1953例(26%) 。LVEF 40%-49%患者为1322例(缺血性病因67%,NYHA III-IV类42%,ACE-I - 27%, MRA - 11%,利尿剂- 74%)。
CHARM研究,平均随访2.9年


TOPCA研究纳入了3444例HF患者的基线特征和LVEF治疗结果的差异,并确定了LVEF是否改变了螺内酯的治疗效果。射血分数从44到85%不等。主要终点事件为心血管死亡和心衰住院风险。
European heart journal, 2015, 37(5): 455-462.
回顾性分析TOPCA研究中LVEF为44%-49%亚组的心衰患者(n=520)中螺内酯的治疗效果:


• 研究表明,铁缺乏(ID)在伴有HFrEF、HFmrEF和HFpEF的贫血患者和无贫血患者中普遍存在,并与HF患者的严重症状、生活质量和临床结局相关
• 流行病学证据强调,如果血红蛋白低于14g/dL,则无论LVEF如何,都有必要筛查HF患者是否伴有ID
Acta cardiol, 2017, 73: 1-9;2. European journal of heart failure, 2014, 16(9): 984-991.3. Circulation. 2017;136:1374-1383


➣ 对于有症状的HFmrEF门诊患者,若为窦性心律,可考虑使用β受体阻滞剂,以降低全因和心血管死亡风险。
➣ 对于有症状的HFmrEF门诊患者,可考虑使用坎地沙坦,以降低心衰住院和心血管死亡风险。
➣ 对于有症状的HFmrEF门诊患者,如果没有禁忌证,可考虑使用螺内酯,以降低心血管死亡和心衰住院风险。
➣ 多数研究显示HFmrEF的病因与缺血性心肌病及扩张型心肌病相关。
➣ 荟萃分析显示HFmrEF全因死亡率及非心源性死亡率明显低于HFrEF;而心源性死亡率明显低于 HFpEF 。
➣ HFmrEF是可以因EF值的升高或降低而与HFpEF或HFrEF互相演变,前一种演变的预后似乎好于“稳定的” HFmrEF;而后一种演变的预后似乎较“稳定的” HFmrEF 差。
➣ 2019年ESH指南建议,有症状的HFmrEF门诊患者,可考虑使用β受体阻滞剂(窦性心律)、坎地沙坦及螺内酯。
哈尔滨医科大学附属第二医院心内科病区主任,主任医师,博士研究生导师。现为中华医学会心血管病分会心力衰竭学组委员,中国医师协会心力衰竭专业委员会委员,黑龙江省医师协会心血管病学分会副主任委员,黑龙江省医师协会高血压学组副主任委员,中国医师协会心血管内科医师分会代谢性心血管疾病专业委员会委员,中华医学会心身医学分会双心学组委员,黑龙江省医学会心血管分会委员,中国医疗保健国际交流促进会心脏重症专业委员会委员,中华医学会哈尔滨市医学会医疗事故鉴定专家。
作为通讯或第一作者共发表SCI文章9篇。论著2本,并参与国家卫生和计划生育委员会住院医师规范化培训教材《预防医学》的编写。主持课题8项,其中包括2项国家自然基金,1项中国博士后基金,2项黑龙江省自然基金,1项黑龙江省海外学人科研基金。作为负责人,曾获1项黑龙江省科技成果三等奖,2项黑龙江省教育厅科技成果二等奖,1项黑龙江省医疗新技术三等奖,1项黑龙江省医疗新技术一等奖。曾多次获得哈尔滨医科大学优秀教师称号及连续多年获院优秀科技工作者称号。