

在深圳心力衰竭国际发展论坛暨心力衰竭治疗研讨会•深圳站活动中,来自广东省人民医院的刘媛教授为我们带来了题为“缺血性心肌病的血运重建治疗”的精彩报告。

引言
近年来,随着科学技术的进步,心力衰竭在诊断、治疗等方面都取得了巨大的进展,但由于心力衰竭发病率、致死率和致残率高,仍然是威胁人类健康的公共和社会重大问题,也是当前心血管领域的热点问题和亟待解决的难题。
一、缺血性心肌病的定义及机制
●由于冠状动脉疾病引起心肌变性、坏死和纤维化,并导致严重左室功能障碍[LVEF≤35%-40%]的一种疾病
●慢性、进行性
●不包括冠心病并发症引起的心力衰竭:如室壁瘤、乳头肌功能不全、室间隔穿孔等
●≠心肌病
●有研究根据冠脉病变程度对心衰患者预后的预测价值,定义为符合以下条件之一的心力衰竭:
(1)既往有心梗或血运重建病史或
(2)双支或三支血管狭窄≥75%或
(3)左主干或前降支近段狭窄≥75%
●若不符合,需考虑其他致心衰原因
●特点:病变重,预后差

●约2/3慢性心衰由缺血性心肌病引起
●心肌梗死后2年心力衰竭的发病率约为10%,6.5年为40%以上
●与不合并心衰的冠心病患者相比:
(1)临床合并症更多
(2)出血及再次心肌梗死的发生率更高
(3)治疗欠充分
(4)死亡率更高
【心室重塑】
●心肌梗死后或大范围心肌长期慢性缺血→心肌细胞损失
●心室重塑:在一段时期内左室从几何构造、质量、容量方面发生了改变

【冬眠心肌】
●冬眠心肌-存活心肌
(1)心肌灌注持续慢性降低→功能降低
(2)心肌灌注恢复或耗氧减少→功能部分或全部恢复
(3)持续不能恢复灌注→损伤、坏死、凋亡
●约20%-50%以上的缺血性心肌病患者存在相当数量的存活冬眠心肌
●早期血运重建-挽救冬眠心肌,阻止和逆转心室重塑

二、血运重建前的评估
临床因素
●临床表现(ACS或SAP)
●心绞痛的程度(无症状或按CCS分级)
●心衰的程度
●有无接受指南推荐的药物治疗(GDMT)
●有无其他影响预后的因素如糖尿病、肾功能不全等
●是否合并不适于血运重建的其他疾病
【冠脉病变:冠状动脉病变的评价】
●冠脉造影 —“金标准”

【存活心肌】
有合适靶血管→评价心肌活性


【危险分层】



三、血运重建的获益、风险及方式选择
【左室功能的改善】
●2004年meta分析(29项研究,758例患者):
(1)有存活心肌:术后LVEF平均增加约8%(37% vs 45%)
(2)无存活心肌:术后LVEF无明显变化(36% vs 37%)
●左室舒张末径超过7.0cm的患者,即使有相当数量的存活心肌,术后左室功能仍无改善,且死亡率更高
【生存率的改善】
●多数观察性研究发现,在有存活心肌的缺血性心肌病患者中,与单纯药物治疗相比,血运重建改善生存率和左室功能
●有研究认为,当存活心肌>10%时,早期血运重建的获益更大
●但观察性研究有其局限性
(1)行血运重建患者的选择偏倚
(2)阴性结果不被发表
(3)未给予标准药物治疗

1.2002年meta分析:
●24项非随机化研究,3088例患者
●平均LVEF 32%
●重点比较血运重建与单纯药物治疗的效果
结果:行血运重建后,与单纯药物治疗相比,有存活心肌的患者年死亡率降低80%(3.2% vs 16%);无存活心肌的患者年死亡率无明显差异(7.7% vs 6.2%)


●在缺血性心肌病患者中(LVEF≤35%)
●比较CABG+药物和单纯药物治疗
●首项前瞻性多中心随机对照研究
●主要终点:全因死亡
●次要终点:
——(1)心源性死亡
——(2)全因死亡+因心脏原因住院




小结:


(1)存活心肌检测并不能识别出能从CABG中获益的患者;
(2)评估心肌活性不是判断患者是否应行血运重建治疗的唯一因素。
结果有争议,使用的检测存活心肌的方法主要是DSE或SPECT,而非PET。不能因此否定存活心肌的检测在血运重建决策中的作用。




总结:心肌活性和CABG的获益之间的关系在STICH亚组结果显示,评估心肌活性不是心衰患者考虑是否选择最佳血运重建方法的唯一因素二)
1. CABG术后的短期风险较高
●一项前瞻性研究纳入1992-1997年间行CABG的患者8600余例,LVEF>40%的患者院内死亡率低于2%,LVEF 20%-40%的患者为4%,<20%的患者为8%
●克利夫兰医疗中心对1990-1999年间行CABG的14000多例患者进行回顾性分析,结果显示左室功能严重受损(LVEF<30%)患者的院内死亡率为3.2%。
2.缺血性心肌病患者是PCI术的高危患者
●成功率显著低于心室功能正常者
●处理病变中无再流或慢血流增加
●并发症发生率和住院期间的死亡率显著增加
●心功能不全对介入治疗远期预后产生不良影响
●术者的操作技能与风险评估至关重要。
●可将药物治疗作为初始治疗-基石
●规律用药仍有心绞痛症状-重新评估、血运重建
●临床症状、冠脉病变程度、存活心肌、风险分层
●个体化、结合指南
注:CABG短期死亡风险和致残风险高-可首选药物治疗
小结:应结合临床症状、冠脉病变程度、有无存活心肌和风险分层充分衡量患者的获益及风险后制定治疗方案。结合指南。
●上述研究多数采用了CABG
●缺血性心肌病患者中CABG vs PCI、PCI vs 单纯药物治疗的数据有限,尚无RCT,结论不统一


【短期随访:PCI与CABG相比】
●死亡、心梗、再次血运重建无差异
●卒中风险更低(HR, 0.05; 95% CI, 0.01–0.39; P=0.004)
【长期随访,PCI与CABG 相比】
●死亡风险相似(HR, 1.01; 95% CI, 0.81–1.28; P=0.91)
●再次血运重建风险更高(HR, 2.54; 95% CI, 1.88–3.44; P<>
●心肌梗死风险更高(HR, 2.16;95% CI, 1.42–3.28; P=0.0003)
●卒中风险低(HR, 0.57; 95% CI, 0.33–0.97; P=0.04
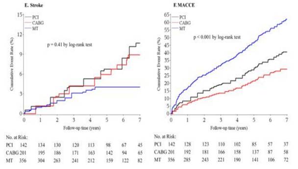
1.合并左室功能不全的三支病变三种治疗策略的比较
●2004年4月至2011年2月阜外医院造影且进行随访的;
●三支病变、LVEF ≤40%的患者共699例;
●其中142例PCI,201例CABG,356例单纯药物治疗;
●中位随访时间74个月




小结
CABG与PCI相比:
●全因死亡风险无明显差异(图A),
●但心源性死亡、MACCE风险更低(图B、F)
PCI与单纯药物相比:
●全因死亡、心源性死亡、MACCE风险均更低(图A、B、F)
●单纯药物治疗组预后最差,多因素校正后仍有统计学意义
2.合并心功能不全的冠心病患者预后分析

2013年阜外医院行PCI术的10445例患者中
●549例LVEF
●随访时间2年

小结:
●LVEF < 50%的患者死亡风险显著高于lvef≥50%
●LVEF越低,死亡风险越高。
总结:
(1)心衰患者治疗决策选用CABG还是PCI应该由心脏团队在仔细地评估患者临床状况和冠脉解剖结构后,包括SYNTAX评分,合并症以及血运重建的完整性再做决定,心脏团队应该包括一名心衰专家。
(2)对于外科手术风险高(如STS预测手术死亡率≥5%)或不适于行外科手术且冠脉解剖合适的患者,可考虑行PCI术。
四、介入术中风险防范及处理
●股动脉是最合适的穿刺部位;
●优势:必要时可按需增大动脉鞘管的尺寸和改用支持装置;
●多数情况下,放置7-8F动脉鞘管并使用足够大小(7F)的导引导管以利于冠脉造影和支架置入,同时也利于在必要时迅速方便地置入其他的医疗装置,如IABP、心肺支持装置等。
●介入手术中必须充分镇静;
●不能完全配合的患者最好使用全身麻醉。绝大多数患者在行介入手术中不需要麻醉;
●对于使用心肺支持装置的患者可以考虑选择使用,其原因是在手术过程中要使用较大的导管可能会引起患者不适。
●一代离子型造影剂对于低危手术耐受性良好,但其高渗透压和钙螯合剂效应易使代偿能力差的患者出现低血压和心律失常;
●二代低渗透压造影剂,包括离子型和非离子型,血流动力学副作用更少,对高危患者具有更好的耐受性;
(1)离子型造影剂是否对于高危患者更有优势仍存争议;
(2)两类二代造影剂出现造影剂相关性副作用均不常见;
(3)非离子型等渗造影剂碘克沙醇可能比以往使用的造影剂具有更好的耐受性,近年来随机临床试验结果也表现出其在高危手术患者中的较好效果。
1.严重心功能不全合并多支病变
●即使不能达到完全解剖性血管重建,完全功能性血管重建也能够明显改善症状和预后;
●血管重建的治疗策略必须根据临床标准和解剖学标准实施个体化方案。
正确识别供应缺血但尚存活心肌的血管并将其作为介入治疗的靶病变很重要。
2.一旦识别靶病变,即可根据受损心肌量及有无侧支循环采用系统化的介入治疗方案:
●首先考虑开通完全闭塞的冠脉为该区域受损心肌提供足够的前向血流;
●开通闭塞冠脉后,再相对安全地开通供应侧支循环的病变血管;
●其它处病变可根据受损心肌的大小决定是否介入治疗,应首先解决供应大面积心肌血运的病变血管;
●供应小面积心肌的病变血管不予处理。
1.拟行介入治疗两处或多处影响较大面积心肌的血管病变时:
●多数患者,尤其是涉及机械支持治疗的患者,会接受两天的阶段性手术方案;
●有时血管重建手术会一次进行多支血管病变的处理;
●如果治疗效果欠佳或进一步介入治疗可能会危及到患者的生命安全,那么阶段性的治疗方案可能会更为合适。
2.阶段性治疗方案:
●可将患者转至监护病房,留置动脉鞘管并维持肝素输注,维持主动脉球囊反搏支持治疗;
●多数患者还需要维持输注血小板糖蛋白IIb/IIIa拮抗剂;
●次日再次行血管造影可评估初始病变的状况,然后决定是否需要对初始病变及其它病变进行介入治疗。
●大隐静脉桥的介入治疗需要考虑到静脉桥自身问题,尤其是对左心功能不全患者更是如此;
●对于静脉桥闭塞的患者来说,由于静脉桥介入治疗近期和远期效果均不佳,故应优先考虑对自身冠脉血管进行介入治疗;
●如果自身冠脉血管解剖形态复杂则有必要考虑开通静脉桥;
●预防静脉桥介入患者的无复流或急性闭塞等不良反应,远端血栓保护装置已被认为是有效的辅助治疗手段,应强烈推荐使用;
●血小板糖蛋白IIb/IIIa拮抗剂。
●如果出现血流动力学的不稳定,尤其是症状不稳定且药物治疗效果不佳的患者拟行介入治疗时应充分考虑使用合适的经皮介入支持设备;
●主动脉球囊反搏及心肺支持治疗对心功能低下的高危患者具有潜在作用;
●主动脉球囊反搏通过减少心肌负荷量,降低心肌耗氧量,提供的脉冲式血液支持相当于多增加了 0.5 -0.8 L /min 的心输出量,降低了 10-20% 的左室舒张末压及类似百分比的肺毛细血管楔压
●无证据表明主动脉球囊反搏能改善血流动力学明显狭窄处的冠脉血流。在不存在阻塞性病变的冠脉部分,主动脉球囊反搏治疗通过增加 25% 冠脉血流量来增加心肌氧供;
●IABP 的好处可能更能体现在介入治疗术后,因为介入治疗术后阻塞的病变已被成功开通,灌注压的增高可转化为冠脉血流的增加;
●在介入治疗前或介入治疗失败后,IABP 使患者获益主要是通过降低后负荷以及减少心肌耗氧量。
五、指南推荐



专家简介

刘媛主任医师
从事心血管临床工作10余年,熟悉心血管系统常见病、多发病的诊治和冠心病、心肌病、瓣膜病等多种疾病所致的心力衰竭方面积累了较丰富的临床经验治疗。