
心力衰竭(心衰)是多种原因导致心脏结构和/或功能的异常改变,使心室收缩和/或舒张功能发生障碍,从而引起的一组复杂临床综合征,主要表现为呼吸困难、疲乏和体液潴留等。根据心衰发生的时间、速度,分为慢性心衰和急性心衰。多数急性心衰患者经住院治疗后症状部分缓解,而转入慢性心衰。慢性心衰的药物治疗逐渐从单一靶点干预发展到了多靶点干预,进入了一个多元化靶点结合个体化治疗的崭新时代。目前以血管紧张素转化酶抑制剂/血管紧张素II受体拮抗剂/血管紧张素受体脑啡肽酶抑制剂、钠-葡萄糖共转运蛋白2抑制剂、β受体阻滞剂和盐皮质激素受体拮抗剂为基础的“新四联”规范化心衰治疗模式,大幅改善了心衰患者的预后,但心衰患者总体病死率依然较高,带来了沉重的社会、经济和医疗负担。2016年,意大利法拉利教授团队在Nature Reviews Cardiology杂志发表文章[1]【图1】,揭示心率增快参与了所有的心血管事件链环节,加重患者心衰症状并影响心衰预后,是慢性心衰药物治疗不容忽视的干预“靶点”。

图1 心率作为“危险标志”参与心血管疾病早期进程,影响患者临床症状;作为“危险因素”参与心血管疾病晚期进程,影响患者临床预后。
2022 ACC心衰指南推荐“新四联”作为多元化靶点干预的一线策略,对心率这一靶点的干预推荐了β受体阻滞剂。然而在接受了β受体阻滞剂治疗的患者中,仅13.4%的患者达到或超过指南推荐目标剂量的50%,仅1.1%的患者达到目标剂量。研究结束时单独使用β受体阻滞剂的心衰患者平均心率为80.3次/分,远高于指南要求的60次/分的靶目标心率[2]。CHINA-HF研究和QUALIFY研究显示:即使β受体阻滞剂的使用率高达70%-80%,但患者达到目标剂量的比率仅仅为10%-20%。由此可见,我国心衰患者心率控制不佳,主要原因是患者β受体阻滞剂无法达到目标剂量,又是什么原因导致其β受体阻滞剂无法达到目标剂量呢?研究发现,主要是β受体阻滞剂不耐受,具体原因包括慢性阻塞性肺疾病(COPD)/哮喘(28.3%)、低血压(21.9%)、乏力症状(20.6%)、心动过缓(19.7%)等[3]。2022 AHA/ACC/HFSA心衰管理指南明确推荐,慢性心衰患者GDMT治疗的基础上,如果患者是窦性心率,且静息心率≥70次/分,加用伊伐布雷定可减慢心率,降低心衰再入院和心血管死亡[4]。
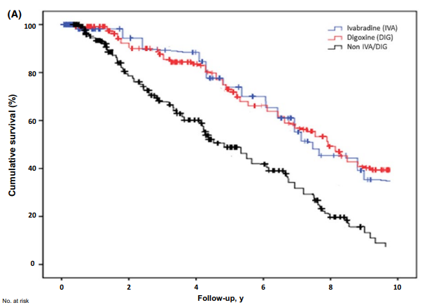
1979年,DiFrancesco等在窦房结细胞中发现了一种因过度极化而激活的内向离子流,它和一般的电压依赖性离子通道因除极而激活截然相反,十分奇特(funny),故将其命名为If电流[5]。进一步的研究发现,伊伐布雷定在窦房结细胞内侧与HCN通道的结合位点特异性结合可以抑制If电流,从而影响动作电位4期自动除极,能有效减慢心率[6]。来自伊伐布雷定上市前的SHIFT研究显示:对于心率≥70次/分的心力衰竭患者,推荐的治疗方案基础上加用伊伐布雷定能够显著降低心力衰竭死亡和入院率,伊伐布雷定使心血管死亡或因心衰恶化入院风险降低18%[7]。来自伊伐布雷定中国上市后的POSITIVE研究显示:无论门诊或住院患者(基线心率>85 bpm),起始伊伐布雷定治疗1个月即可显著降低心率~13 bpm。出院前起始伊伐布雷定随访6个月,显著改善心衰患者心功能和生活质量[8]。2022年北京协和医院发表在《Clin Cardiol》一项研究显示,对于血流动力学稳定的急性心衰患者,伊伐布雷定显著降低心率,改善心功能,减少因心衰再入院风险[9]。一项来自中国台湾的研究,纳入出院时接受伊伐布雷定和未接受伊伐布雷定治疗急性失代偿性射血分数降低心衰患者,结果发现出院前起始伊伐布雷定1年心血管死亡率降低55%,全因死亡风险降低52%[10]。西班牙10年队列研究显示:长期应用伊伐布雷定,可降低10年全因死亡率12%,心血管死亡率17%【图2】[11]。由此可见,联合伊伐布雷定可以有效减慢慢性心衰患者心率,改善临床症状,改善远期预后。


图2 窦性心律、心率>70次/分的射血分数降低的心力衰竭患者生存期
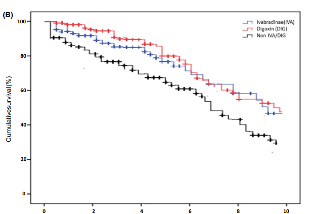
心血管事件风险:A:全因死亡率 B:心血管死亡率
心衰治疗已经进入了多元化靶点干预时代,“新四联”药物的使用大大提高了心衰患者的生存期,心率作为多元化干预“靶点”不容忽视,协同优化了心衰患者的治疗与管理。大量研究已经充分证明伊伐布雷定可以有效干预心率这一靶点,减慢心率,改善症状,改善患者远期预后,值得进一步临床应用。而且2022急性心力衰竭中国急诊管理指南明确推荐[12],经住院治疗血流动力学稳定的急性心力衰竭患者,窦性心率≥75次/分,若暂时无法接受β受体阻滞剂,可小剂量起始使用伊伐布雷定(IIa B),再次强调了心率管理在心衰标准化治疗中的重要性。
参考文献
[1]. Ferrari R, et al. Heart rate reduction in coronary artery disease and heart failure[J]. Nat Rev Cardiol. 2016 Aug;13(8):493-501
[2]. 胡大一,等.盐酸伊伐布雷定治疗中国慢性心力衰竭患者的有效性及安全性评价:SHIFT研究中国亚组数据分析[J].中华心血管病杂志. 2017;45(3):190-197.
[3]. Komajda M, et al. Physicians' adherence to guideline-recommended medications in heart failure with reduced ejection fraction: data from the QUALIFY global survey Eur J Heart Fail. 2016 May;18(5):514-22.
[4]. Writing Committee Members, et al. 2022 AHA/ACC/HFSA Guideline for the Management of Heart Failure[J]. J Card Fail. 2022 ;28(5): e1-e167.
[5]. DiFrancesco D. The role of the funny current in pacemaker activity[J]. Circ Res, 2010, 106(3):434-46.
[6]. 国家卫生计生委合理用药专家委员会,中国药师协会.心力衰竭合理用药指南(第2版)[J].中国医学前沿杂志(电子版).2019,11(7):1-78.
[7]. Swedberg K, et al. Rationale and design of a randomized, double-blind, placebo-controlled outcome trial of ivabradine in chronic heart failure: the Systolic Heart Failure Treatment with the I(f) Inhibitor Ivabradine Trial (SHIFT).Eur J Heart Fail. 2010;12:75-81
[8]. Jingmin Z, et al. RealWorld effectiveness of Ivabradine in Chinese Patients with Chronic Heart Failure: Interim Analysis of the POSITIVE Study[J]. Am J Cardiovasc Drugs. 2022;22(3):345-354.
[9]. Ying-Xian L , et al. Initiating ivabradine during hospitalization in patients with acute heart failure: A real-world experience in China[J] .Clin Cardiol, 2022;45(9):928-935.
[10]. Chia-Te Liao, et al. The association between ivabradine and adverse cardiovascular events in acute decompensated HFrEF patients. ESC Heart Failure 2021; 8: 4199–4210
[11]. Guzman M , et al. Prognosis of heart failure treated with digoxin or with ivabradine: A cohort study in the community[J]. Int J Clin Pract.2018;72(11):e13217.
[12]. 中国医疗保健国际交流促进会急诊医学分会,等.急性心力衰竭中国急诊管理指南(2022)[J].中国急救医学.2022(8)

钟明,山东大学齐鲁医院心内科教授,博士生导师,高血压专业主任,美国心脏病学院专家会员(FACC)。中国老年医学学会高血压分会常务委员;中华医学会心血管病学分会高血压学组委员;山东省医师协会心内科医师分会副主任委员;山东省医学会心脏康复分会副主任委员;山东省医学会心血管病学分会心衰学组副组长;山东省医药卫生中青年重点科技人才。作为项目负责人承担国家自然基金、973、山东省等课题10余项。作为第一承担者获山东省科技进步二等奖1项;以第一作者/通讯作者发表SCI收录文章46篇;参编著作2部。