
根据2021 ESC心衰指南,血管紧张素转化酶抑制剂(ACEI)是射血分数减低心衰患者降低心衰住院和死亡的一线治疗(Ia类),可考虑使用沙库巴曲缬沙坦钠(ARNI)替代ACEI(Ib类)。对有症状的左心室射血分数(LEVF)≤35%、窦性心律且静息心率≥70次/分 尽管使用了最大耐受剂量β受体阻滞剂、ACEI(或ARNI)和醛固酮受体拮抗剂(MRA),仍应联合伊伐布雷定,以降低心衰住院和心衰死亡的风险(IIa类)。伊伐布雷定是窦房结If起搏电流特异性抑制剂,可剂量依赖性地减慢窦性心律,并且不影响血压及心肌收缩力,对β受体阻滞剂禁忌或不能耐受,可考虑使用伊伐布雷定,如合并呼吸系统疾病的患者[1]。沙库巴曲缬沙坦钠(ARNI)是血管紧张素受体脑啡肽酶抑制剂,包含脑啡肽酶抑制剂沙库巴曲和血管紧张素Ⅱ受体拮抗剂缬沙坦,是治疗慢性心力衰竭的创新药物[2]。伊伐布雷定联合沙库巴曲缬沙坦钠治疗慢性心力衰竭的临床疗效和安全性有待进一步验证。
伊伐布雷定和沙库巴曲缬沙坦钠联用提高慢性心力衰竭患者的心功能改善程度
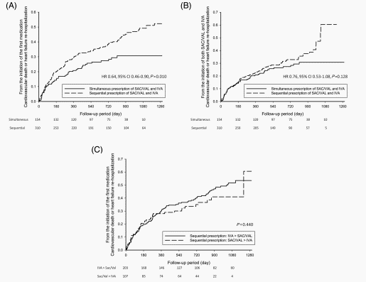
一项台湾的多中心回顾性心衰队列研究,纳入了2016年至2018年台湾10家医院的1835名有症状的射血分数减低心衰(HFrEF)患者(HFrEF患者的定义是NYHA心功能II、III或IV级且LVEF≤40%的患者)[3]。患者分为(1)同步组:6周内同时处方伊伐布雷定和沙库巴曲缬沙坦钠;(2A)顺序组,伊伐布雷定优先:即先处方伊伐布雷定,再处方沙库巴曲缬沙坦钠;(2B)顺序组,沙库巴曲缬沙坦钠优先:即先处方沙库巴曲缬沙坦钠,再处方伊伐布雷定。研究结果显示同步组患者心血管死亡和/或非计划再住院发生率更低(28.6% vs. 44.8%,P=0.01),且左心室射血分数(LVEF)的改善明显优于顺序用药组(Δ LVEF 12.8 ± 12.9% vs. 9.3 ± 12.6%,P=0.007)。因此,在射血分数减低心衰患者中,同时使用伊伐布雷定和沙库巴曲缬沙坦钠,而不是分开连续治疗,是减少不良事件和实现左心室逆转重构的更好策略(图1)。

图1 患者心血管死亡和/或首次非计划性心力衰竭再住院的Kaplan-Meier曲线(A:自首次药物治疗开始;B:IVA和ARNI联合处方;C:2A组和2B组)
另一项在北京安贞医院开展的临床试验,纳入了2017年4月至2020年4月在北京安贞医院心内科住院及门诊就诊的病情稳定的CHF患者,随机分为两组。两组患者均使用了沙库巴曲缬沙坦钠治疗,伊伐布雷定组:共纳入68例患者,在标准心衰治疗方案的基础上,对窦性心率且心率>70 次/分的,予以伊伐布雷定治疗;对照组:共纳入66例患者,同期就诊的接受标准心衰治疗方案,但因各种原因未使用伊伐布雷定。加用伊伐布雷定前两组基线比较,心率(HR)、N-末端脑钠肽前体(NT-proBNP)、6分钟步行距离(6MWD)、左心室射血分数(LVEF)、左心室舒张末期内径(LVEDD)、左心室收缩末期内径(LVESD)均无统计学差异。治疗6个月后,与对照组相比,伊伐布雷定组:心率、N-末端脑钠肽前体、左心室舒张末期内径、左心室收缩末期内径均显著降低(P<0.05),6分钟步行距离、左心室射血分数均显著增加(P<0.05)。伊伐布雷定组治疗6个月后与治疗前比较,心率(68.5±10.1 vs. 81.2±7.7 次/min)、N-末端脑钠肽前体水平(455±51 ng/L vs. 2510±506 ng/L)、左心室舒张末期内径(51±4 mm vs. 61±6 mm)、左心室收缩末期内径(33.2±0.9 mm vs. 42.1±1.3 mm)均有显著下降趋势,6分钟步行距离(198±55 m vs. 110±55 m)、左心室射血分数(40.0±6.0% vs. 31.0±7.0%)均有显著升高趋势,且药物不良反应少[4]。此项临床试验结果提示伊伐布雷定联合沙库巴曲缬沙坦钠治疗能够降低慢性心衰患者的心率,改善心功能,改善慢性心衰患者的生活质量,且不增加不良反应(图2)。

图2 治疗前后观察指标比较
伊伐布雷定和沙库巴曲缬沙坦钠联用治疗慢性心衰的安全性高
伊伐布雷定和沙库巴曲缬沙坦钠联用治疗慢性心衰的临床疗效确可有效改善心功能,抑制心肌重构,提高患者生活质量,且用药安全性高。研究发现[5],联用组的不良反应率(眩晕、恶心呕吐、头痛、腹痛等)较单用沙库巴曲缬沙坦钠组低(图3),且比较两组治疗前后生活质量量表(PAC-QOL)评分[6](该量表共计30分,评分越高表明患者生活质量越好),联用组的生活质量量表评分显著高于沙库巴曲缬沙坦钠组(P<0.001)(图4)。另外一项临床研究亦表明,伊伐布雷定和沙库巴曲缬沙坦钠联用治疗慢性心衰的效果显著,且能够降低不良反应发生率[7](P<0.05)(图5)。

图3 两组不良反应发生率比较

图4 两组治疗前后PAC-QOL评分比较

图5 两组患者的不良反应发生情况比较(n/%)
总结
伊伐布雷定和沙库巴曲缬沙坦钠联用治疗有症状的左心室射血分数(LEVF)≤35%、窦性心律且静息心率≥70bpm的心衰患者有确切的临床疗效,能更好逆转左心室重构,更有效改善心功能,显著降低心血管死亡和/或非计划再住院发生率,提高患者生活质量,且不良反应发生率较单用沙库巴曲缬沙坦钠低,用药安全性高,值得临床更好的应用。
参考文献
[1] Majewski S et al. Am J Cardiovasc Drugs, 2012 Jun; 12(3): 179-88.
[2] 中华心血管病杂志, 2002; 30(1): 7-23.
[3] Lee Y H et al. ESC Heart Fail.2021 Apr; 8(2): 1204-1215.
[4] 中国循证心血管医学杂志, 2021; 13(5): 566-569.
[5] 临床合理用药, 2021; 5(14): 56-58.
[6] 护理研究, 2016; 30(24): 2968-2972.
[7] 临床医学研究与实践, 2022; 7(5): 46-49.

林桂珍, 武汉市第三医院心血管学科带头人,主任医师,武昌区政协委员,拥有扎实的医学理论知识及丰富的临床工作经验。擅长于高血压、冠心病、高脂血症等心血管疾病的治疗。完成临床工作之余,还积极参与科研工作,曾在杂志报刊发表文章数篇,其中课题《大蒜素对血管内皮细胞结构和功能的影响》获得2003年武汉市科技进步奖二等奖。参与研究课题《c-mgcc-fos及端粒酶基因在动脉粥样硬化中的表达及开博通对其的影响》获得武汉市科技进步奖二等奖,湖北省科技进步奖三等奖。被评为“武汉市卫生系统防治非典型肺炎先进个人”。