
研究背景
植入式心脏复律除颤器(ICD)可以降低缺血性心肌病(ICM)患者的死亡率和心血管病猝死(SCD)风险,但尚无研究表明ICD植入可以降低非缺血性心肌病(NICM)患者的死亡率。识别预防性植入ICD有潜在获益的NICM患者仍是一项艰巨的任务。周期性复极动力学(PRD)是一种非侵入性心电图标记物,已经证明PRD升高是ICM患者心血管(CV)死亡、SCD和心律失常事件强有力的独立预测因子。近期,EU-CERT-ICD研究表明PRD与预防性ICD植入降低死亡率之间存在关联,但EU-CERT-ICD是一项非随机研究,研究对象为ICM患者和LVEF≤35%的NICM患者的混合人群。DANISH研究是迄今为止探究在NICM患者中预防性ICD植入对生存影响的最新且规模最大的临床研究。结果并未显示在全因死亡率方面获益,但也表明年轻患者可能受益于预防性ICD植入。因此,本研究假设PRD可能是一个有效标记物,可用于预测NICM患者中一级预防性ICD植入的治疗效果。
研究方法
这项事后分析基于DANISH试验预设的Holter子研究。主要纳入标准:NICM患者、LVEF≤35%、NT-proBNP>200 pg/mL且接受最佳稳定的药物治疗。纳入的患者被随机分配(1:1)接受最佳药物治疗基础上的预防性ICD植入(ICD组)或继续最佳药物治疗(对照组)。已有心脏再同步治疗(CRT)装置的患者如果同意升级装置,也可以被纳入。所有的植入手术都在随机化分组后四周内进行。本研究人群最终包括748例患者,ICD组385例,对照组363例,研究流程见图1。主要结局是全因死亡,次要结局是CV死亡和SCD。

图1 研究流程图
研究结果
表1显示了研究人群的人口统计学和临床特征,以及治疗和结局。患者平均年龄为61.4±10.7岁,女性占比27%。在Holter-ECG记录期间,有162例(21.6%)患者发生房颤心律,38例(5.0%)发生心室起搏心律。平均随访5.1±2.0年期间,共167例(22.3%)死亡。106例死亡归类为CV死亡,其中63例归类为SCD。与DANISH试验的结果一致,ICD植入与死亡率降低无关(P=0.40;表2)。
表1 患者基线时人口统计学和临床特征

表2 单因素和多因素Cox-回归分析预测全因死亡

1. PRD和主要终点事件的关联
所有患者的平均PRD为8.8±6.4度。随访期间死亡患者的PRD显著高于存活患者的PRD(10.5±6.1 vs 8.3±6.4度,P<0.001),死于SCD患者的PRD显著高于未死于SCD患者的PRD(11.6±7.7 vs 8.7±6.3度;P=0.02)。Cox回归分析中,在调整ICD植入、CRT植入、年龄、性别、LVEF、NT-proBNP、eGFR、糖尿病、平均心率以及Holter-ECG记录期间房颤或心室起搏的存在等因素后,PRD是全因死亡的独立预测因子(PRD增加1 SD的HR为1.28;95%CI 1.09-1.50;P=0.003)(表2)。
2. ICD组和对照组中PRD和临床结局的关联
在对照组中,随访期间死亡患者的PRD(10.9±6.5度)明显高于存活患者的PRD(7.5±5.8度;P<0.001;表3)。相反,ICD组中不存在这种差异(P=0.15)。在对照组中,PRD是Cox回归分析(PRD每增加1SD,HR为1.51;95%CI为1.25-1.81;P<0.001)和CV死亡(1.58;95%CI为1.27-1.97;P<0.001)中死亡率的独立预测因子。然而,在ICD组中,PRD与死亡(P=0.71)或CV死亡(P=0.65)没有统计学关联(表4)。PRD与ICD在降低死亡率(P=0.008)和CV死亡率(P=0.02)的治疗效果方面存在着明显的交互作用。
PRD也可预测对照组的SCD(P=0.01)。在ICD组中,PRD对SCD的预测值未达到统计学显著水平(P=0.16;P交互作用=0.63)。在对照组(HR 1.44;95% CI 1.06-1.95;P=0.02)和ICD组(1.25;95% CI 1.00-1.55;P=0.05;P交互作用=0.42),PRD对心律失常事件都有预测作用。
表3 ICD组和对照组中风险变量与全因死亡的统计关联

表4 对ICD组和对照组中全因死亡、心血管死亡、心血管猝死和心律失常事件预测的交互作用分析

3. PRD与一级预防性ICD植入对全因死亡的影响之间的关联
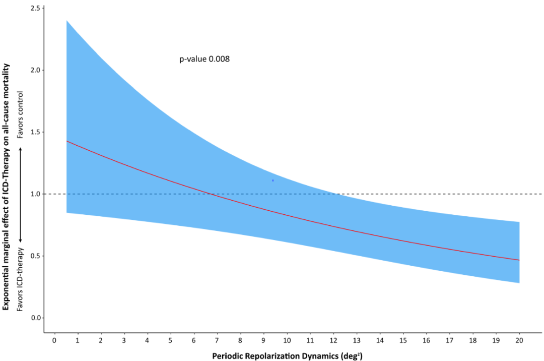
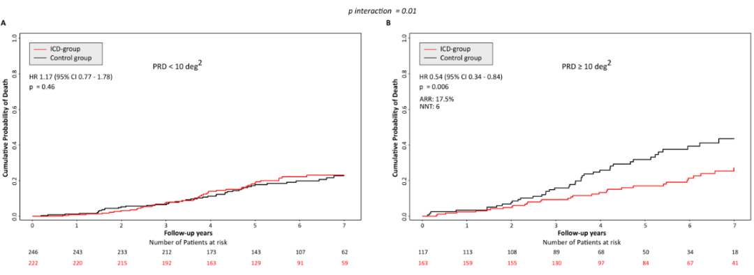
在Cox回归分析中,PRD与ICD植入对降低死亡率的影响之间存在显著的交互作用(P=0.008;图2)。在低PRD情况下,ICD植入与死亡率降低无关。然而,随着PRD的增加,预防性ICD植入的生存获益越来越大(截止值≥/<7.5度:P=0.03;截止值≥/<10度:P=0.006;PRD≥/<12.5度:P<0.001)。图3显示了PRD<10度和PRD≥10度的患者按ICD植入分层的累积死亡发生率。PRD≥10度的对照组患者在7年后的累积死亡率最高,为43.5%(图3A),8年后随访结束时为57.6%。相反,PRD≥10度的ICD组患者在7年后的累积死亡率为27.1%,在随访结束时为40.1%。这意味着8年后绝对风险降低了17.5%。相比之下,在PRD<10度的患者中,ICD治疗和常规治疗患者的累积死亡率没有统计学差异(P=0.46;图3B)。PRD≥10度和<10度与ICD治疗降低死亡率的交互作用P值为0.01。

图2 PRD与ICD植入对降低死亡率的影响之间的关联

图3 ICD组和对照组中PRD<10度(A)和PRD≥10度(B)患者的累积死亡发生率
4. PRD与其他参数的关联
PRD与年龄(P=0.18)和是否接受胺碘酮治疗(P=0.94)都无显著相关性。在排除发生心室(右心室或双心室)起搏心律的患者后,PRD对整个人群(n=710,P<0.001)和对照组(P<0.001)的死亡率都有预测作用,但对ICD组没有预测作用(P=0.38;P交互作用<0.001)。
总结与讨论
在本研究中,PRD增加的患者如果随机分配到ICD植入组死亡率会下降,表明PRD可能会更好地识别出将获益于预防性ICD植入的NICM患者。本研究是对DANISH试验的事后分析,并非专门研究该人群中的PRD,需要在LVEF降低的NICM患者中进一步来验证这些结果,因此,该结果应被视为探索性的。其次,PRD评估仅基于单一测量,由于交感神经激活和心室对自主神经影响的脆弱性可能会随着时间的推移而改变,因此在未来的研究中需更加关注PRD随时间的变化过程。
参考文献
Boas R, Sappler N, von Stülpnagel L, et al. Periodic Repolarization Dynamics Identifies ICD Responders in Nonischemic Cardiomyopathy: A DANISH Substudy[J]. Circulation, 2022, 145(10): 754-764.
供稿:吴易航
责编:黄燕
审校:张宇辉