




[1]



•左室壁矢状切面
•交感神经纤维主要位于心外膜下,伴行于冠脉
•迷走神经纤维位于心内膜下





•动脉压力感受性反射
•心肺压力感受性反射
•肺部牵张反射
•化学感受性反射
•骨骼肌反射
•肾脏传入神经
•心肌缺血或心梗
•睡眠呼吸障碍

[2]


[3]
维持心脏输出量,同时导致心脏重构


[4]








[5]


[6]

•他汀类药物可以抑制中枢交感活性
•有效纠正心衰患者体内交感神经系统过度激活状态
•8例CHF患者使用他汀和停用他汀的交感神经性性比较(上图)

•停用他汀后的交感神经兴奋指标明显升高
•NE水平和血压不变

•MRA在MI后6周可降低中枢神经系统PVN区的交感神经兴奋性介质及细胞因子表达
•抑制交感输出
•最终抑制血浆细胞因子升高、血浆中的NE的增加,但不影响血浆醛固酮水平

[7]
•NCPAP可减轻交感活性
•尿和血浆NE水平经治疗后减低


[8]

•运动训练对心衰患者有益,可能也与抑制交感兴奋有关
•心衰患者运动训练降低心脏交感传入反射、降低化学感受性反射,可使神经反射趋于正常
•运动训练降低交感输出



[10]

•地高辛可以改善迷走神经调节异常
•迷走神经刺激器械治疗有良好的发展前景
•迷走神经刺激(vagal nerve stimulation,VNS)
•脊髓电刺激(spinal cord stimulation, SCS)
•压力感受器刺激(baroreflex stimulation,BAT)
•颈动脉窦神经刺激(carotid sinus nerve stimulation)



[12]



◆SCS装置:两根电极导线和脉冲发生器;电极置入硬脊膜外腔T1-T2水平,然后通过皮下隧道连接位于腰部或腹部的脉冲发生器。
◆机制:刺激脊髓神经传入纤维,增加中枢迷走兴奋
◆作用:改善CO,降低外周血管阻力,降低心肌氧耗量,降低缺血性室性心律失常风险
◆SCS对心衰患者的疗效如何,目前仍处于研究早期,尚无确切结论,有效性有待证实
◆目前已开展了多项多中心临床研究

[13]


[14]


[15]
◆由脉冲发生器和一根电极两部分组成
◆脉冲发生器发放冲动后,经电极传导至颈动脉,刺激压力感受器,压力感受器将信号传送至大脑,大脑随之对心脏、血管、肾脏进行调节


[16]

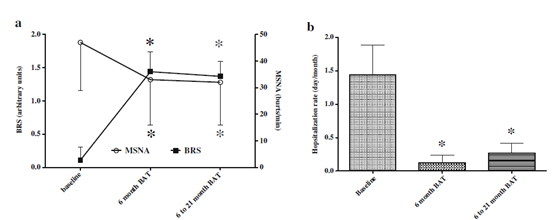
9例采用BAT治疗的患者MSNA 和BRS 的变化.
(a). 相应的住院率降低 (b). *p < 0.01 为较基线的变化

[17]

是第一项BAT 用于 HF的RCT研究
入选患者: NYHA III级HF,射血分数≤35%,GDMT治疗
在美国、加拿大和欧洲的45个中心入选
随机146例,对照组70例,治疗组76例
◆主要不良的神经和心血管事件无事件率为97.2%
◆结论:BAT安全,可以改善功能状态、生活质量、运动能力、降低NT-proBNP,可能减少NYHAIII级心衰住院患者的住院负担。

◆心脏的自主神经调节对心衰的进程有重要影响
◆交感神经兴奋、副交感活性降低在心衰的发生发展起到重要作用
◆自主神经系统失衡是治疗心衰的潜在靶点
◆从抗炎、改善心室重构及电重构等多个方面机制发挥作用
◆为心衰治疗提供新的思路
参考文献
[1]Singh JP et al. Eur Heart J. 2014 Jan;35(2):77-85
[2]Frans H.H. Circ Res. 2007;101:221-223
[3]Filippos Triposkiadis, et al. JACC. 2009;54:1747–62
[4]Henry Krum, William T Abraham. Lancet 2009; 373: 941–55
[5]Agostino P. Am J Med 1994;96:191–9
[6]Marc E. Gomes, et al. Clin Auton Res. 2010 Apr; 20(2): 73–78
[7]Naughton MTAm J Respir Crit Care Med 1995;152:473–9.
[8]WANG Wei et al. Acta Physiologica 270 Sinica, June 25, 2004, 56(3): 269-281
[9]Wail Nammas, et al. Ann Med. 2017 Feb 10;1-12
[10]Takuya Kishi. J Cardiol. 2016 Nov;68(5):368-372
[11]A. John Camm. European Heart Journal (2015) 36, 404–406
[12]Zannad F, et al. Eur Heart J. 2014 Aug 31;ehu345
Michael R. et al. J Am Coll Cardiol. 2016 Mar 29;S0735-1097(16)32404-4.
G.M. De Ferrari et al. Int J Cardiol. 2017 Jun 10;S0167-5273(17)31295-0
Dicarlo L, et al. J Card Fail 2013;19:655–660
[13]Tse HF, et al. Heart Rhythm. 2015 Mar;12(3):588-95.
[14]Douglas P.ZipesMD, et al. JACC: Heart Failure, Volume 4, Issue 2, February 2016, Pages 137-139
[15]Edoardo Gronda, et al. Curr Heart Fail Rep. 2016 Dec;13(6):273-280
[16]Gronda E, Seravalle G, Quarti Trevano F, et al. J Hypertens. 2015;33(8):1704–8.
[17]William T. Abraham, et al. JACC Heart Fail. 2015 Jun;3(6):487-96
专家简介

张健,主任医师,教授,博士生导师,FACC和FESC,享受政府特殊津贴。
现任国家心血管疾病临床医学研究中心副主任,中国医学科学院阜外医院心力衰竭中心主任。中国医师协会心力衰竭专业委员会主任委员,中国医师协会心血管病分会常委,中华医学会心力衰竭学组副组长,北京心脏学会副会长,北京市医学会急诊医学分会常委。担任《中华心力衰竭和心肌病杂志》主编、《中国循环杂志》常务编委、《中华心血管病杂志》、《中华老年医学杂志》、《中国心血管病杂志》、《中西医结合杂志》、《中华临床医师杂志》编委。