
概 述
肥厚型心肌病
(hypertrophic cardiomyopathy,HCM)
以心肌肥厚为特征的遗传性心肌疾病,以室间隔非对称性肥厚为解剖特点,二维超声心动图: 室间隔或左心室壁厚度≥15 mm, 或者有明确家族史者厚度≥13 mm, 通常不伴有左心室腔的扩大
排除负荷增加引起的左心室壁增厚
梗阻性肥厚型心肌病
(hypertrophic obstructive cardiomyopathy, HOCM)
室间隔基底段肥厚显著,SAM征阳性,流出道压差增大为特征
HCM流行病学
美国成人人群患病率是200/10万
中国成人人群患病率为80/10万,估计全国总患病人数约100万
HCM根据LVOTG分类
梗阻型 :安静时LVOTG>30mmHg
非梗阻型:安静和负荷后均 LVOTG<30mmHg
隐匿梗阻型:安静时LVOTG<30mmHg,负荷后LVOTG>30mmHg
以上3型与约各占1/3, 推测我国HOCM患者约60万
临床、诊断与评估
症状

预后

诊断与评估
症状和体征
常规或动态心电图检查在病情评估中具有重要意义
影像学如超声心动图,CMR,可准确判断心肌肥厚的程度和部位,以及血流动力学变化
基因检测
病理学
大体解剖主要为心室肥厚,主要是室间隔肥厚,部分病人肥厚部位不典型,可以是左心室靠近心尖部位
组织学病理改变有3大特点:心肌细胞排列紊乱;小血管病变;间质纤维瘢痕形成
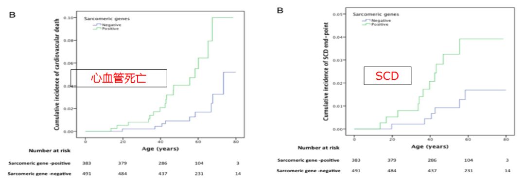
基因检测有显著的预后作用(5年随访)
2015年heart文章:874例HCM患者,随访周期4.8+/-3.5年。(IF=6.0)

基因检测有显著的预后意义(HCM、12年随访)

肥厚型心肌病肌小节相关致病基因







治 疗
HOCM治疗目的:缓解症状、预防猝死
现状:绝大多数患者没有得到有效和规范的治疗

药物治疗
β-受体阻滞剂
维拉帕米
ACEI/ARB
罗内酯
非药物治疗
外科室间隔切除术
经皮腔内间隔心肌消融术
起搏治疗
处理流程:无流出道梗阻者

处理流程:有流出道梗阻者

外科室间隔切除术适应症

PTSMA适应症

经皮腔内间隔心肌消融术
(PTSMA)
PTSMA由英国医生Sigwart于1991年首次应用于治疗HOCM并取得良好的疗效,随着经验的积累和方法学上的不断改进,该方法日趋成熟,逐渐成为HOCM的主要治疗手段之一
是介入手段,通过导管注入无水酒精,闭塞冠状动脉的间隔支,使其支配的肥厚室间隔心肌缺血、坏死、变薄、收缩力下降,是流出道梗阻消失或减轻。从而改善HOCM患者的临床症状
PTSMA适应证
1.临床症状
① 患者有明显临床症状,且乏力、心绞痛、劳累性气短、晕厥等进行性加重,充分药物治疗效果不佳或不能耐受药物副作用
②外科间隔心肌切除失败或PTSMA术后复发
③不接受外科手术或外科手术高危患者
2有创左心室流出道压力阶差
①静息 LVOTG≥50 mmHg
② 和(或)激发 LVOTG≥70 mmHg
③有晕厥可除外其他原因者,LVOTG可适当放宽
3超声心动图
① 符合HOCM 诊断标准,梗阻位于室间隔基底段,并有与SAM征相关的左心室流出道梗阻,心肌声学造影确定拟消融的间隔支动脉支配肥厚梗阻的心肌
②室间隔厚度≥15mm
4冠状动脉造影
间隔支动脉适于行PTSMA
PTSMA禁忌证

并发症

SCD高危因素

ICD植入适应证

常见鉴别

临床适应症

有症状患者血液动力学适应证
超声心动图,静息状态下LVOTG≥50 mmHg,或激发后LVOTG≥70 mmHg
形态学适应症

我科2004-至今,32例PTSMA的病例

特殊病例的HOCM-PTSMA术(case 1)

特殊病例的HOCM-PTSMA术(case 2)

经验
高龄:严格评估
复发:查找原因
多支消融:谨防泄漏
并发症:意外效果?
总结
HOCM的我国并不少见,诊疗欠规范
基因诊断和影像学进展很大
非药物治疗仍有很大空间
苏津自教授
福建医科大学附属第一医院
福建医科大学附属第一医院心内科主任医师,医学博士,教授,硕士生导师。
中国高血压杂志常务编委兼编辑部副主任,中国高血压联盟理事,卫生部脑卒中筛查与防治中青年专家委员会委员,中国医药教育协会专家委员会高血压专业委员会常务,福建省中西医结合协会高血压专业委员会副主任委员,福建省心电生理与起搏分会常务委员,福建省医学会心血管病分会及福建省心血管病介入质控中心委员,福建省慢病管理高血压中心副主任,福建省心血管病高峰论坛执行主席。擅长冠心病、先天性心脏病、梗阻性肥厚型心肌病的化学消融术等介入诊疗技术。发表论文70余篇,其中SCI论文15篇。