


CSWT 的治疗方案和临床效果

➤ 方案
每月治疗1周,每周内震波3次,隔天进行,持续3个月,累计9次为1疗程
治疗周期缩短为1个月密集治疗法:1个月内完成9次,每周治疗3次,连续3周
每个月治疗3周,休息1周,每周治疗1次,连续3个月,累计9次治疗为1个疗程根据病人情况可重复1-4个疗程
➤ 疗效
增加内源性血管内皮生长因子
促进血管再生
明显增加心肌灌流量
明显增加运动承受能力
明显减少心绞痛症状
冠状动脉造影(CAG)或多层螺旋CT冠状动脉造影(CTCA) 提示冠脉中、重度狭窄、经正规药物(伴或不伴支架或旁路移植)治疗后,仍有胸闷、气促发作、运动耐力差,并且满足以下条件:
1.心脏超声/SPECT/D_SPECT可定位到确切的心肌缺血区,负荷试验证实有存活心肌存在(冬眠或顿抑心肌)
2.加拿大心血管病学会(CCS)心绞痛分级Ⅱ级以上,纽约心功能分级(NYHA)Ⅰ~Ⅲ级
3.LVEF>30%,血流动力学稳定者(包括安装起搏器或ICD者)
4.心室率在40-120bpm之间
体外震波明显改善猪的心肌缺血而导致的心肌功能异常
使用大型动物慢性心脏缺血模型(体外震波的安全性和有效性)
探讨体外震波促进血管再生的作用机制


猪慢性心肌缺血模型震波治疗后:冠脉造影提示冠脉血管较对照组比较明显增多,心脏收缩功能较对照组比较明显改善


➤ 实施方案
入选17例急性心肌梗死患者,PCI术后2-3天开始震波治疗(0.04 mJ/mm2),低能量治疗3次,隔天1次

震波治疗3次,随访12个月,左室内径没有扩大,左室收缩功能均有改善

随访12个月结果显示:体外震波治疗明显改善左心室重构,增加左心室收缩功能,心血管事件减少


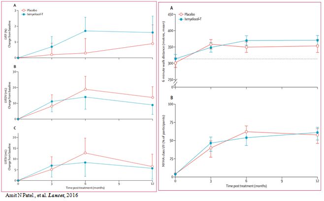
北美31个临床中心进行的一项临床IIb期、多中心随机双盲对照试验
入组人群:NYHA分级III-IV级,EF<35%,缺血性扩心病患者,ICD植入,未行血运重建治疗
首要终点:为复合终点,包括全因死亡、因心血管疾病住院、因ADHF急诊就诊
次要终点:LVEF, LVESV,LVEDV, 每搏输出量,NYHA分级,生活质量量表,住院天数,NTproBNP、白蛋白/肌酐比值、hs-CRP、cTnI、尿酸等变化值

➤ 主要终点:全因死亡、心血管事件导致的再住院以及因急性失代偿性心力衰竭导致的急诊住院
➤ 研究结果:以人年数计算,Ixmyelocel T细胞移植后可显著降低复合终点事件达37%,(0.63, 95%CI (0.42-0.97), p=0.0034)

➤ 经过12个月的随访,两组间LVEF、LVEDV、LVESV均轻微升高
➤ 6分钟步行试验NYHA分级较前改善,但均未见统计学差异
入组204例STMEI患者,采用Ficoll分离法获取BMSCs, PCI后经冠脉通路移植, 通过左室造影测量LVEF

➤ 4月后随访LVEF明显升高,组间存在统计学差异
➤ 1年随访各终点事件发生率试验组明显低于对照组

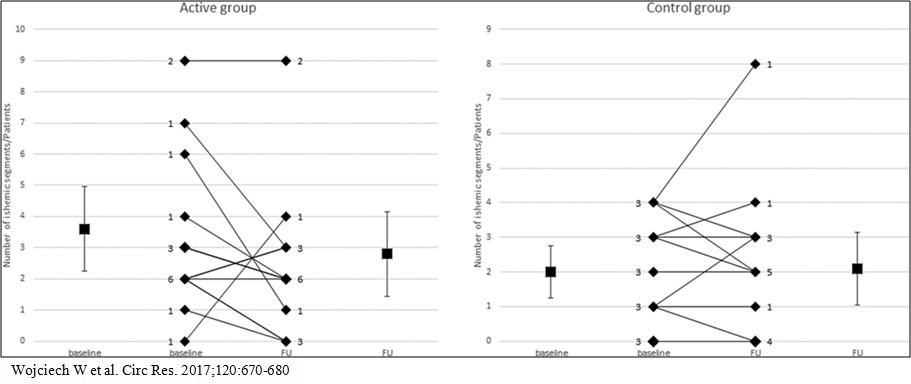
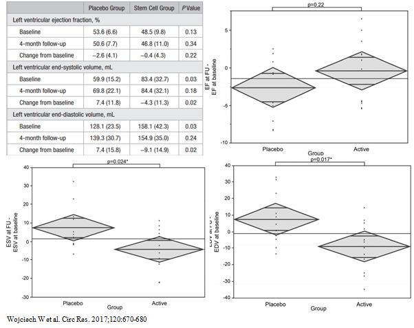
本研究入组31例顽固性心绞痛的患者,CCS评分II-IV级,通过SPECT评估心肌缺血情况

通过SPECT评估结果显示,CD133+BMCs移植可改善心肌缺血评分

CD133+的BMCs移植减小了左室舒张末期容积和左室收缩末期容积,实验组和对照组存在明显差异
改善了左心室重构
在改善LVEF方面两组未见明显差异

首次将CSWT与冠脉内注射BMC这两大治疗缺血性心肌病的新技术相结合,证实CSWT可以显著提高缺血性心肌病患者在冠脉内注射BMC后的心脏功能
单中心、随机对照、临床II期试验
入组人群:年龄18-80岁,心功能NYHA分级II级及以上,EF<50%,至少3个月以前有前壁心梗,目前为稳定的慢性心力衰竭
首要终点:左室射血分数的改变
次要终点:左室容积, 每搏输出量,NYHA分级,全因死亡率,再发心梗,室速,血运重建
安全性终点:体外振波的耐受性,室性心律失常,治疗后cTnT的变化,MACE事件
Assmus B, etal. JAMA, 2013,309(15):1622-31

CSWT联合BMCs移植治疗,4个月随访提示:EF升高,较前具有显著统计学差异(低剂量震波+高剂量震波)
在LVEDV、LVESV中各组前后对比均无显著差异



通过CSWT可以提高心肌干细胞的定植率与存活率(改良土壤)


采集患者骨髓40-50ml,通过Ficoll分离法获得骨髓单核细胞并培养8天

在ficoll单核细胞分离法培养第8天后,可观察已经有密集融合且呈复层趋势生长的原代细胞,此时即可以进行传代培养。

经过12±1天的培养后,经凋亡试验鉴定,BMSCs生长状态良好,几乎没有细胞凋亡;流式检测结果细胞符合移植要求。


BMSCs移植2月后患者EF较前升高6.4%,6分钟步行距离较前增加54m
男/65,陈旧性前壁心肌梗死,震波治疗前:频繁心绞痛,胸闷,活动后气促。CCS3-4级,心功能III级NYHA。治疗后:心绞痛症状消失,心衰症状明显改善

治疗前(上图为负荷后,下图为静息图);治疗后(上图为负荷后,下图为静息图)。
箭头处黑色区域代表缺血区,D-SPECT评估心肌灌注情况,震波治疗后心肌灌注明显改善
男/54,三支病变,PCI术后(LAD),震波治疗前:频繁发作心绞痛,CCS3-4级。治疗后:心绞痛症状消失

女/76,双支病变,PCI术后(LAD、LCX),治疗前:上一楼即有心绞痛发作, CCS3-4级; 心律失常:频发室早。治疗后:心绞痛症状消失,一口气上5楼,早搏明显减少

体外震波治疗技术安全性好、耐受性好
体外震波治疗技术疗效肯定,但有些病人需要反复治疗
体外震波治疗通过改良土壤提高干细胞的定植率与存活率
CSWT与冠脉内注射干细胞治疗,两大新技术结合,改善心肌缺血,提高心功能,提升远期效果
徐亚伟教授
上海市第十人民医院
医学博士,二级教授,主任医师,博士研究生导师,上海市劳动模范,上海市首届十大仁心医师,第二届国之名医。FACC,FESC。现任上海市第十人民医院心脏中心主任、大内科主任、内科学教研室主任、同济大学医学院泛血管病研究所所长。
兼任:国家重点研发计划项目首席科学家,中华医学会内科学分会副主任委员,上海市医师协会心血管内科医师分会会长,中华医学会心电生理与起搏分会委员,中国医师协会心血管内科医师分会常委,中华医学会心血管病学分会心脏康复学组常务副组长,中国房颤中心房颤学院副院长,上海市胸痛中心联盟执行主席,世界华人心血管医师协会秘书长(WACC)。
承担多项国家及省部级课题,科研经费总计逾9千万元。近五年发表各类文章251篇, 其中SCI文章152篇,累计影响因子逾350分。曾多次荣获中华医学科技奖、上海市科技进步奖、上海医学科技奖等。