


急性心衰患者出院后不良事件(死亡或再住院)的发生风险,随着住院次数的增加而进一步增加。

患者在出院后1-30天、30-60天、60天后的心衰死亡率和心衰再住院率
American heart journal, 2010, 159(5): 841-849.

RAAS: 肾素-血管紧张素-醛固酮系统; SNS: 交感神经系统; AVP: 精氨酸加压素; ROS: 活性氧; NO: 一氧化氮; GFR: 肾小球滤过率.
European Heart Journal: Acute Cardiovascular Care1(3) 256–268.


European journal of heart failure, 2010, 12(5): 423-433.

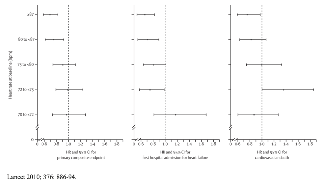
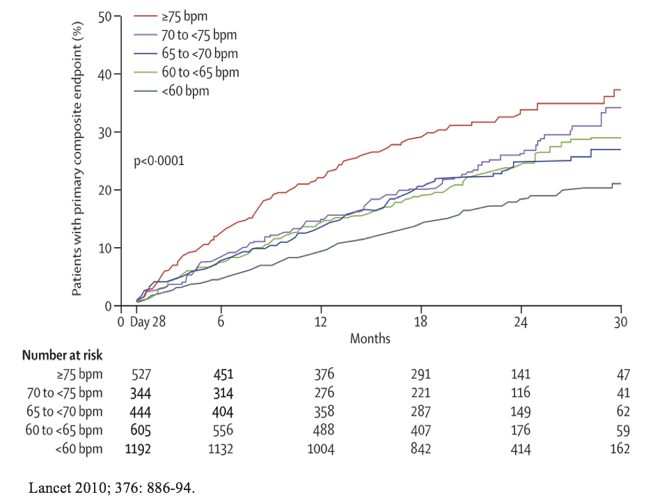
JAMA 2005;294:1625–1633.





































➤ 室性心律失常的治疗:
❇ 室性心律失常的早期治疗是纠正电解质紊乱,尤其是低钾、低镁
❇ 停用可能引起心律失常的药物
❇ 在心肌缺血引起的室性心律失常中,可以进行血运重建
❇ 胺碘酮和BBs可用于控制症状性的室性心律失常
Current Pharmaceutical Design, 2017, 23(31): 4609-4619.


➤ 对于需要起搏,但房室传导阻滞程度不高的HFrEF患者,起搏方式应考虑以改善心室不同步为主
Current Pharmaceutical Design, 2017, 23(31): 4609-4619.

教授,主任医师 ,博士研究生导师,FACC。哈尔滨医科大学附属第二医院心内科副主任。现任黑龙江省医学会心衰专业委员会主任委员,黑龙江省医师协会心血管病学分会副主任委员,黑龙江省医疗保健国际交流促进会心力衰竭专业委员会副主任委员,国家心血管病专家委员会心力衰竭专业委员会常务委员,黑龙江省医师学会高血压学会常务委员,中华医学会心血管病分会心力衰竭学组委员,中国医师协会心血管分会心衰学组委员,“心力衰竭国际学院”特聘导师,中国医师协会心血管内科医师分会代谢性心血管疾病专业委员会委员,中华医学会心身医学分会双心学组委员,黑龙江省医学会心血管分会常务委员,黑龙江省心脏医学学会理事,黑龙江省医师协会毕业后教育与继续教育分会常务委员,《中华地方病学杂志》编委,《中华心力衰竭和心肌病杂志(中英文)》编委,中国医疗保健国际交流促进会心脏重症专业委员会委员,中华医学会哈尔滨市医学会医疗事故鉴定专家,首届“龙江名医”,首届“强基层优秀龙江名医”。