

心力衰竭是“二十一世纪心血管新的流行病”
利尿剂的不良作用
激活RAAS、恶化肾功能、发生利尿剂抵抗。
2000年以来出现了h-BNP、Adenosine A1−Receptor Antagonist、Vasopressin antagonist
然而,以上三种药物分别经过临床试验:ASCEND-HF 试验、EVERLAST 试验和PROTECT 试验被淘汰掉了。
于是糖皮质激素应运而生。
糖皮质激素有水钠储留作用仅仅是循证医学时代前理论推测,无循证医学证据支持。
1.糖皮质激素真的有钠、水潴留作用吗?

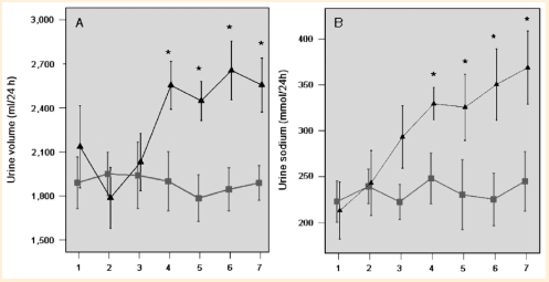
2.强的松在失代偿心力衰竭肾脏水钠分泌功能作用的剂量试验(PRIME study)。


3.糖皮质激素在心力衰竭中的应用(123)
(1)心力衰竭伴高尿酸血症
糖皮质激素在心衰伴高尿酸血症中治疗作用 (PUSH-PATH 1 Study)


糖皮质激素在心衰伴高尿酸血症中治疗作用 : (PUSH-PATH-3) Study

糖皮质激素在心力衰竭中降尿酸的机制(PRIME Study 子研究)


基于我们的研究,最新加拿大心脏病学会共识意见:糖皮质激素可以用于心力衰竭患者的痛风治疗
《The Canadian Cardiovascular Society Heart Failure Companion: Bridging Guidelines to Your Practice》。
(2)急性失代偿性心力衰竭
糖皮质激素对急性失代偿性心衰的治疗作用 (COPE Study)


Cumulative Survival in different groups. + represents censored case.

糖皮质激素对急性失代偿性心衰的治疗作用 :荟萃分析

1084名患者,30天死亡率下降50%
(3)心力衰竭伴利尿剂抵抗
强的松对心力衰竭伴利尿剂抵抗的治疗作用


心力衰竭伴利尿剂抵抗的处理流程

袢利尿剂→换另外一种袢利尿剂,如:拖拉塞咪→静脉利用袢利尿剂,并增大剂量→联合应用噻嗪类利尿剂和螺内酯→加用糖皮质激素或床旁血滤
1.糖皮质激素促利尿作用的可能机制

2.糖皮质激素对失代偿心衰大鼠肾脏NPR-A的影响


3.糖皮质激素对失代偿心衰大鼠的影响

4.渴觉实验:对下丘脑NPR-A的影响

糖皮质激素(DEX)对饮水量的影响如何?


5.糖皮质激素受体兴奋的作用:钠尿肽A型受体(NPR-A)过表达

GR:糖皮质激素受体;GRE:糖皮质激素反应元件
6.生理学界对糖皮质激素的最新认识

7.Adjunct prednisone therapy for patients with community-acquired pneumonia: a multicentre, double-blind, randomised, placebo-controlled trial.
