

在2017中国国际心力衰竭大会(CIHFC)暨中国医师协会心力衰竭专业委员会年会上,来自北京协和医院的朱文玲教授为我们带来了“肥胖与心肌病”的精彩报告。

定义
[1]
◆心力衰竭完全或部分由于肥胖所致,见于病态的肥胖患者
◆肥胖患者的心肌病不能用糖尿病、高血压、冠心病或其他病因解释
临床特征
从无症状性心室功能不全
到
明显的扩张性心肌病
一、肥胖性心肌病临床证据
尸检研究

心脏质量†, LVH/RVH, 肥胖患者猝死、心衰原因:DCM
流行病学研究

◆随访10-20年,肥胖是HF的独立危险因素,RR 1.6-2.12
◆ECHO:LV舒张功能不全与高BMI和体脂量有关


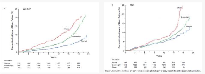
BMI和心衰发生率
[3]

BMI与心衰风险关系的多变量COX风险比模型研究

心衰的危险性
◆矫正了已知的危险因素后, BMI每增加1, 心衰的风险男性增加5%,女性增加7%
◆肥胖患者心衰风险:男性10.9%, 女性13.9%
心脏结构改变
[4]
◆左室壁增厚,质量增加,左室扩张
◆向心性、离心性左室肥厚
◆右室肥厚,容量增加
组织学改变
[5]
◆弥漫性心肌细胞肥大
◆心肌纤维化
↓↓↓↓↓↓
心肌结构及组织学改变
支持肥胖患者心肌病的存在
心脏功能改变
【舒张功能不全】
◆独立存在
◆与收缩功能不全合并存在
◆HFpEF一般先于HFrEF
↓↓↓↓↓↓
必须排除缺血性心脏病,高血压,糖尿病
引起的充血性心力衰竭
◆临床上未检出冠心病,高血压,糖尿病所致的心脏病的肥胖患者,左室舒张功能不全比较普遍

临床和超声心动图特征

收缩功能
[6]

Functional change

相对年轻的肥胖患者,尽管无高血压、糖尿病或其他合并疾病,左室功能已下降
二、肥胖性心肌病发病机制
◆血液动力学异常
◆代谢紊乱
——胰岛素抵抗
—— 脂质毒性( lipotoxicity)
—— 瘦素
◆心肌纤维化
◆RAAS激活
◆交感神经激活
1. 血液动力学异常
◆由于血液动力学改变和负荷状态导致心室重构和心肌病变为肥胖性心肌病的首个发病机理
◆1kg脂肪需要30ml/min血流量
[7]

2. 代谢紊乱
【1.胰岛素抵抗】
胰岛素抵抗与肥胖患者的心脏改变和心肌病的联系已得到公认
◆降低心肌葡萄糖摄取及氧化
◆增加脂肪酸氧化
◆改变心肌基因表达
◆增加氧化应激
◆减少胰岛素样生长因子1受体(insulin-like growth factor 1R ,IGF-1R)
◆改变细胞内Ca2+运载
【2.脂质毒性(Lipotoxicity)】
心肌细胞过多的脂肪酸和甘油三酯的积聚导致细胞功能失常和死亡,最终导致心肌功能不全
【3.瘦素】
◆瘦素(脂肪组织分泌):促使减少摄食,增加能量释放,抑制脂肪细胞的合成,进而使体重减轻。
◆肥胖者出现瘦素抵抗(Leptin Resistance):血液瘦素水平增加, 瘦素受体水平反馈性下调,或受体后信号转导受阻,不能介导瘦素发挥正常生理功能
◆病理水平的瘦素可促进大量氧自由基的产生,产生明显的负性心肌肌力作用
肥胖存在对瘦素的不敏感
触发细胞凋亡及心室功能不全.
【4.脂联素 】
脂肪特异性蛋白,脂肪细胞分泌,与脂肪组织代谢密切相关,减少胰岛素抵抗炎症反应具有抗氧化,抗AS,降低血压作用,脂肪细胞增大,脂联素分泌减少TNFα, IL-1和IL-6释放增多,胰岛素抵抗增加。
3. RAAS及心肌纤维化
◆RAAS各项基因表达使脂肪组织AngII产生增加
◆AngII水平升高导致细胞增殖,肥大,凋亡,纤维化以及随之心肌功能不全
4. 交感神经系统激活
◆胰岛素抵抗和 RAAS介导交感神经系统激活
◆由于交感神经系统加速心肌细胞凋亡和坏死,可导致心肌细胞进行性丢失
5. 小血管病变及内皮功能
[11]
在肥胖患者或胰岛素抵抗时,微血管病变是导致心力衰竭、视网膜病变 和肾病的重要病理生理机制
合并症的相互作用
◆高血压
◆糖尿病
◆冠心病
◆OSAS
肥胖相关心衰的危险因素
◆体重增加,特别是腹部肥胖(内脏脂肪)
◆长期肥胖
◆ 年龄增长
诊断
病史及体格检查对肥胖患者心功能受损评估有限
心脏影像学

组织多普勒成像
[13]

BNP
[14]
◆肥胖患者,尽管左室充盈压升高,但BNP和NT-proBNP水平却降低
◆肥胖合并心肌病患者与非肥胖患者比较,BNP在诊断心衰和病情预后监测上用途有限
治疗
◆早期干预
◆治疗策略
三方面治疗策略
◆控制体重,增加体力活动
◆药物治疗
——针对心肌病的治疗目标
——控制合并症的危险因素:高血压,糖尿病,
—— 代谢综合征
◆减肥手术,适合于病态肥胖患者,特别当诊断心肌病或显著代谢紊乱或有合并症时


减肥术
手术治疗,入选患者重度肥胖,体重135kg,BMI 30,40,>50,
结果
◆术后<半年,半年,1年, 体重下降24%-54%,33-56kg,
◆左室结构和功能改善,左室内径,厚度减小, 左室收缩功能和舒张功能改善 (左室充盈压,左室等容舒张时间IVRT改善)
减肥术(2016-11 AHA发表)
[15]
瑞典登记肥胖减肥手术13701例,入选无心衰的肥胖患者
【分组】
◆生活方式干预组
◆减肥手术组
【结果:减肥术与生活方式干预组比较】
◆体重下降增加:第1年:18.8kg,第2年:22.6kg
◆随诊4.1年(中位数),心衰发生风险降低 50% HR 0.54 95%CI 0.36-0.82
◆减肥术组房颤、糖尿病、高血压发生较低(减低肥胖患者
发生心衰的其他危险因素)
减 重
◆病态肥胖:减重改善血液动力学,代谢改善
◆轻度肥胖:代谢改善
◆适当程度均衡减重
药物治疗
◆心衰标准治疗:ACEI (ARB)、 β-blocker 醛固酮拮抗剂
◆早期阶段是否需要药物治疗尚不清楚
◆噻唑烷二酮类及二甲双胍
改善代谢紊乱
不良反应:液体潴留
代谢性酸中毒
◆肥胖药物治疗尚存在问题
◆病态肥胖推荐减肥术
合并症的治疗
◆睡眠呼吸障碍
◆高血压
◆糖尿病
◆代谢综合征
◆男性 24岁,肥胖患者
◆气短,浮肿4个月,加重1周于2002年2月8日入院
◆BP170/110mmHg,肺清,心率110bpm,杂音(-), 肝肋下4cm,腹水,下肢及阴囊浮肿。出院时体重102kg,BMI 38.9,
◆ECHO:全心大,LV64mm,LVEF37%,TG升高,血糖正常,肝肾功能正常
◆诊断:扩心病
◆控制饮食,减重,增加活动。药物:地高辛,倍他乐克,一平苏(西拉普利), ◆速尿, 降脂药。出院时浮肿、腹水消退,血压正常。定期随诊调整药物剂量,停地高辛。
◆2002-8-7随诊:体重减轻15Kg,BMI 33
ECHO:LA,LV增大,LVEF61% 血糖及HbA1C升高,诊断糖尿病
◆09-1-8 ECHO LA43mm.LV52mm LVEF63%
◆仍在本院门诊随诊(半年一次)病情稳定,NYHA心功能分级I级,血压,血糖、TG正常,BMI30
◆本例为代谢综合征,重度肥胖
◆考虑肥胖性心肌病,减重加药物治疗(ACEI,利尿剂,β-B)心脏结构恢复正常,心功能改善
三、总结
◆肥胖是心衰和心肌功能障碍的独立危险因素, 超过高血压、糖尿病和冠心病的影响
◆体重超重/肥胖,特别是腹部脂肪增加心衰危险
◆肥胖性心肌病是可预防的,心肌病变有潜在可逆的可能性
【肥胖性心肌病发病机制】
◆血液动力学异常
◆代谢紊乱
——胰岛素抵抗
——脂质毒性
——瘦素
神经激素
——RAAS
—— 交感神经系统
◆通过生活方式干预,减重是最重要的健康策略,重度肥胖患者可选择手术减肥
◆药物治疗包括胰岛素增敏,神经内分泌激素抑制剂的作用尚需 进一步评价
[1]nature clinical practice cardiovascular medicine,2007
[3]Cumulative Incidence of Heart Failure
According to Category of Body-Mass Index at the Base-Line Examination
[4]Karason et al. (1997) BMJ 315:Wong CY et al. (2006). J Am Coll Cardiol
[5]Mizushige K et al. (2000) Circulation 101: Wong CY et al. (2004) Circulation 110:
[6]Chiew Y. Wong, Circulation 2004
[7]Alpert MA (2001). Am J Med Sci 321
[8]Wong CY et al. (2004) Circulation 110
[9]Zhou YT et al (2000). Proc Natl Acad Sci USA 97
[10]Lijnen P and Petrov V (1999) Methods Find Exp Clin Pharmacol 21
[11]Fischer M et al. (2001) Circulation 104
[12]Wong CY et al. (2004) Circulation 110
[13]Wong CY et al. (2006) Am J Cardiol 98:
[14]ACC/AHA 2005 Guideline
[15]Sunstrom J. Bariatric surgery may reduce heart failure risk
14 November 2016 AHA .
专家简介

朱文玲
北京协和医院内科主任医师、博士生导师
◆《北京医学杂志》、《中国心血管病杂志》副主编,多项医学杂志编委
◆国家药监局新药、国家自然科学基金评审专家
◆首都医学发展基金、北京科委科教成果评审专家
◆从事心血管病专业40年,对冠心病、高血压、心力衰竭及超声心动图和血管内超声等有特别研究和造诣
◆作为主要研究者完成很多新药和多中心临床试验
◆发表文章100多篇,著书多部,主编《系统性疾病与心脏》和《心脏疑难病例解析》
◆获多项卫生部、北京市和国家科技进步奖