

在2017中国国际心力衰竭大会(CIHFC)暨中国医师协会心力衰竭专业委员会年会上,来自云南省第一人民医院的赵燕教授为我们带来了“心力衰竭与肾功能不全”的精彩报告。

Case
♦71岁老年男性,因严重的气促、双下肢水肿就诊;
♦既往因慢性心力衰竭病史反复住院治疗;
♦Na+ 130mmol/L Scr 146μmol/L HGB 92g/L ALB 28g/L;
♦在急诊科予以120mg速尿后转至CCU予以硝酸甘油静脉泵入;
——开始排出500ml小便
——次日清晨复查 Scr 320μmol/L
——再次予以速尿后患者无小便
——血压维持不住……

背景
♦30-60%的心衰患者合并肾功能不全 (eGFR < 60 mL/min/1.73 m2);
♦ADHERE:入选118,465 因急性失代偿性心衰的住院患者
♦仅仅9%的患者eGFR完全正常;
♦65%的患者有中度以上的肾功能不全;
♦危险因素包括:糖尿病、初始肌酐水平> 1.5 mg/dL、未控制的高血压 ;
♦合并肾功能不全的心衰患者死亡率为无肾功能不全患者的2倍。
一、心肾综合征
心脏和肾脏其中一个器官的急性或慢性功能障碍可能导致另一器官的急性或慢性功能损害的临床综合征。
♦I型指急性心功能不全,如急性失代偿性心力衰竭(acute decompensated ♦heartfailure,ADHF)导致的急性肾损伤(acute kidney injury,AKI)
♦II型为慢性心功能不全导致的慢性肾功能不全;
♦III型指急性肾功能恶化导致的急性心功能不全;
♦IV型为慢性肾脏病导致的心功能不全;
♦V型指全身系统性疾病(如败血症、糖尿病、系统性红斑狼疮、淀粉样变、血管炎等)导致心肾功能同时异常。
病理生理机制
♦低流量假说(Low flow hypothesis)
♦RAAS系统和SNS系统的激活
♦腹内高压(Intra-abdominal hypertension)
♦氧化损伤和内皮功能障碍
♦心肾-贫血综合症(Cardiorenal-anemia syndrome)
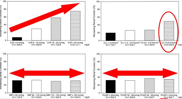
住院期间患者肾功能恶化与CVP、CI、SBP和PCWP的关系
[1]

CVP:中心静脉压 CI:心脏指数 SBP:收缩压 PCWP:肺毛细血管楔压
心衰患者不同心指数下CVP与eGFR关系曲线
[2]

中心静脉压CVP
静脉淤血对肾小球有效滤过压的影响
[3][4]


、
【I型 CRS】
I型CRS中容量和血压管理窗口

I型CRS的高危患者血压和容量管理的窗口变窄,血压和容量的波动易导致肾功能的恶化



二、生物标志物及影像学检查
心肾综合症的生物标志物
[5]

心衰中不同肾功能患者BNP平均水平

NT-proBNP、肌酐清除率与患者预后关系
[6]

评价肾功能的生物标志物

心肾综合症的影像学检查

三、心衰合并肾功能不全的治疗
治疗时需考虑的问题…
♦患者的容量状态如何?
♦是否满足肾的灌注?
♦心输出量如何?
♦有无中心静脉压升高的证据?
♦是否存在基础肾脏疾病?
【低血容量型】
♦过度利尿或其他并发症导致体液丢失
♦补液、停止利尿和静脉使用扩血管药物
【中心静脉压升高型】
♦CVP > 15-20 mm Hg
♦CVP升高导致eGFR降低
♦利尿、超滤
【外周血管收缩型】
♦外周血管阻力升高(SVR)→后负荷增加→ CO降低→ 肾脏低灌注
♦ACEi、血管扩张剂
【低心输出量/低血压型】
♦pCO/BP降低→ 肾脏低灌注p
♦正性肌力药物、升压药物、临时循环支持p
♦LVAD
【血管舒张型】
♦CO正常,SVR和BP降低→ 肾脏低灌注
♦停用ACEi
♦排外潜在感染性休克
♦升压药物、缩血管药物
【CRS的治疗】
♦避免NSAIDS和其他肾毒性药物;
♦详细监测容量状态、CVP、心输出量、肾灌注压(SVR/BP)、之前存在的肾脏疾病(尿蛋白);
♦容量管理:
——限制钠盐和液体的摄入
——袢利尿剂
——精氨酸加压素受体拮抗剂
——超滤
♦防止肾血流量(RBF)和滤过分数(FF)的下降;
——避免肾血管的过度收缩和舒张
——保持稳定的血浆再充盈率
四、容量管理
美国肾脏病基金会慢性肾脏病CKD分期

【利尿剂】
[7]
在严密监测肾功能和电解质的前提下,可考虑用于任何有充血症状和体征,存在液体负荷过重,CKD 3-5期的心衰患者。(证据水平 :缺乏)
【ADHF和CRS中的利尿剂抵抗】

静脉使用袢利尿剂:冲击给药vs持续给药

【利尿剂抵抗的对策】
♦控制饮食中食盐的摄入;
♦静脉给药替代口服给药;
♦持续静脉给药替代间断给药;
♦袢利尿剂与噻嗪类联用;
精氨酸加压素(AVP)与AVP受体拮抗剂

AVP由垂体后叶分泌
V1 血管受体:调节血管平滑肌的收缩
V2 肾脏受体:增加了水蛋白通道的数量,促进集合管对水的重吸收

托伐普坦:选择性V2受体抑制剂
与呋塞米利尿效果相似
对电解质和渗透压无影响
能改善血流动力学指标(RAP、PCWP、CI、SVR)
【超滤治疗(Ultrafiltration,UF)】
[8]
♦滤通过对流转运机制,经过血滤器的半透膜等渗地从全血中除去水分的一种治疗方法。
♦超滤直接从血浆中清除体液,作为代偿机制,组织间隙的液体同步向血管内回流移动,这个回流速度称为血浆再充盈(plasma refill, PR),有助于防止低血容量的发生。
♦超滤的优点:对血流动力学、血压影响小;不会造成电解质和酸碱平衡紊乱
[8]

五、其它治疗的循证推荐
ACEi对心衰患者肾功能的影响
♦ACEi可降低肾血管阻力,扩张出球小动脉作用超过扩张入球小动脉,增加肾血流促进钠水排泄;
♦ACEi对肾脏病伴有蛋白尿的患者具有明显的肾脏保护作用,可改善肾小球内高压、高灌注和高滤过,减少蛋白尿;
♦在临床中表现为短期可使血肌酐水平升高10-20%,但长远来说对肾功能是有益的;
♦在密切检测下,只要没有出现持续的肾功能恶化和高钾血症,均应继续使用
【ACEi】
♦ACEi建议用于所有EF≤40%的CKD 3期患者。 (证据水平 :强)
♦在严密监测肾功能和电解质的前提下,可考虑用于CKD 4–5 期患者。(证据水平:弱)
【BBL】
♦BBL建议用于所有EF≤40%的CKD 3期患者。 (证据水平 :强)
♦可考虑用于CKD 4–5 期的患者。(证据水平:中等)
【MRA】
♦MRA建议用于所有EF≤35%,且尽管使用了ACEi和BBL仍有持续症状的CKD 3期患者。 (证据水平:强)
♦ 对CKD 4–5期患者, MRA不建议使用。(证据水平:缺乏)
【ARB】
♦ARB建议用于EF≤40% 且对ACEi不耐受,或尽管使用了ACEi和BBL仍有症状且不耐受MRA的CKD 3期患者。(证据水平 :中等)
♦加用ARB,在严密监测肾功能和电解质的前提下,可考虑用于CKD 4–5 期患者。 (证据水平:弱)
【地高辛】
♦可考虑用于窦性心律、EF≤35%, 不耐受BBL或已给予最大剂量的BBL、ACEi、和/或ARB/MRA的CKD 3-5期的患者。
♦其中CKD 4-5期的患者需严密监测电解质和地高辛的血药浓度。(证据水平:弱)
【伊伐布雷定】
♦可考虑用于窦性心律、EF ≤35%、心率≥70 bpm, 尽管使用了BBL、ACEi和MRA(或ARB)仍有持续的症状(或BBL不耐受)的CKD 3期患者。 (证据水平:中等)
【ICD】
♦二级预防
ICD适用于有室性心动过速病史或血流动力学不稳定或发生过心跳骤停的CKD 3患者(证据水平 :强),也可考虑用于 CKD 4–5 的患者(证据水平 :缺乏)。
♦一级预防
ICD适用于因缺血或非缺血病因所致的EF ≤35%, 症状性心衰, CKD 3的患者(证据水平:强), 也可考虑用于用于 CKD 4–5 的患者(证据水平 :弱)。
【CRT】
♦CRT适用于经过优化药物治疗,NYHA II–IV, 窦性心律, QRS >120 ms, QRS呈LBBB图形且EF ≤35% (or QRS >130 ms 且 EF ≤30%) 的 CKD 3患者 (证据水平 :强),也可考虑用于 CKD 4–5 的患者(证据水平 :缺乏)。
♦CRT适用于经过优化药物治疗,NYHA II–IV, 窦性心律, QRS >150 ms, QRS非LBBB图形且EF ≤35% 的 CKD 3患者 (证据水平 :中等),也可考虑用于 CKD 4–5 的患者(证据水平 :缺乏)。
不同肾功能水平心衰药物治疗是患者获益的证据强度

六、小结
♦心衰合并肾功能不全发病率高,预后差;
♦心肾综合症的发病机制与肾灌注降低、静脉淤血、RAAS的激活等有关;
♦心衰合并肾功能不全的治疗循证证据相对缺乏,需考虑患者的容量状态、肾灌注和心脏与肾的血流动力学选择适宜的治疗方案。
[1]Mullens, W. et al. J Am Coll Cardiol 2009;53:589-596
[2]Damman, K. et al. J Am Coll Cardiol 2009;53:582-588
[3]Jessup M and Costanzo MR. J Am Coll Cardiol 2009; 53:597-9
[4]Ronco et al. JACC Vol. 52(19,) 2008 Nov 4, 2008:1527–39
[5]Nephrol Dial Transplant 2011; 26: 62–74
[6]SVR:systemic vascular resistance 体循环血管阻力
[7]J Am Coll Cardiol 2014;63:853–71)
[8]. Lauer et al. Arch Intern Med. 1983;99:455-460.
2. Marenzi et al. J Am Coll Cardiol. 2001;38:4.
专家简介

赵燕
云南省第一人民医院心血管内科行政副主任
昆明理工大学硕士生导师
省一院“神华爱心基金”、“爱佑童心”救助基金项目组专家、亚太联盟心脏结构分会第一届全国委员、云南省医师协会心血管分会常委、云南省医师协会心血管女医师分会副主任委员。
1992年毕业于昆明医科大学临床医疗系,2011年晋升为主任医师,从事心血管内科临床工作20余年,多项科技成果获云南省科技进步三等奖,精通各类高血压、冠心病,心衰,先心病的诊疗及各类心血管突发危急重症的抢救。长期从事冠心病介入治疗、先心病介入治疗工作。长年担任昆明理工大学、大理学院、成都医学院学生实习带教工作,多次被评为“优秀教师”多年来为云南心血管届培养了多名技术人才,为提高云南乃至西南地区冠心病、先心病及高血压诊治做出了较大贡献。