





这两种疾病有共同的危险因素,包括:
– 慢性高血压、肥胖症、糖尿病和冠心病等
两者之间的因果关系尚未完全阐明:
– 心房协调受损明显影响心室舒张充盈,从而降低心输出量,加重心力衰竭症状
– 心房纤颤是心动过速致心肌病最常见的原因
– 心输出量减少本身就可以产生一系列生物物理和电生理变化,而导致房颤事件发生
发生脑梗死患者中,20%-30%有房颤病史
房颤患者每年发生脑卒中机会4.9–6.9%
高致残率
– 第一年严重致残率73%,房颤是长期致残的首要原因
高病死率
– 第一年死亡率高达50%
高复发率
– 血栓栓塞预防不足,抗凝治疗不足
– 第一年累计复发率高达6.9%



转复和维持窦律
– 导管消融


















2015年3月18日,WATCHMAN正式被美国FDA批准“入市”!!
左心耳封堵术可用于“房颤需要抗凝”的患者,不再是抗凝禁忌的替代



表1 EWOLUTION试验基本情况

表2 患者基线情况

表3 出血高风险患者在不同试验中的占比情况


图1 不同试验SAE对比

图2 EWOLUTION成功植入率和即刻封堵效果

图3 术后患者抗凝治疗情况
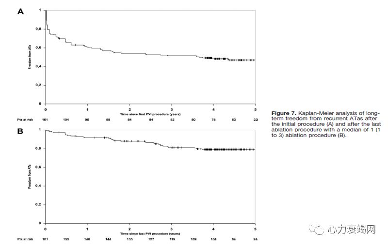
长期随访结果也非常令人满意

一年后卒中与出血情况


图8 适用华法林的患者的卒中和出血情况





年龄≥18岁,非瓣膜性房颤,CHADS2评分≥1或CHADS2-VAS评分≥2分
不适合长期使用华法林抗凝药物治疗
• 有记录的出血病史(胃肠道、脑血管等)和出血倾向
• 对华法林抗凝药物过敏
• 对长期使用华法林抗凝药物治疗依从性差
服从术后口服阿司匹林和氯吡格雷至少3个月
能够理解试验的目的,自愿参加并签署知情同意书
自愿按照临床试验流程完成随访及随访要求的检查



1.准备三联三通板, 连接加压肝素化盐水、血压监测连接套件、造影剂管。
2. 病人准备
静脉麻醉,TEE插管
经皮右股静脉穿刺;
(非必要)经皮左桡动脉穿刺,用于校正测量及压力检测。
房间隔穿刺:TEE指引下, 用8 FrSL1 穿刺套件, 房间隔后下方
3.造影及器械选择 0.035加硬导丝进入左上肺静脉,Schwatz进入左心房
撤出Schwatz鞘,撤出加硬导丝,猪尾导管进入左心房,顺势进入左心耳
左心耳造影 (RAO20-30+CRAN20/CAU20),测量最大开口直径
对比造影及TEE数据,选择合适型号封堵器
将WATCHMAN专属推送外鞘管通过导丝送入左心房底部
内鞘送入与外鞘锁定
4.封堵器释放、固定、牵拉
5.PASS原则评价

高XX,71岁,女性,因“反复心悸7年余”入院
房颤7年余,予华法林抗凝,服用不规律
3年前脑梗1次,遗留左侧肢体发力
HTN数十年,DM数年Ø心电图: 房颤律,
实验室检查:cTnT, ng/ml 0.014 (<0.014 正常), INR 1.79
TTE:LA内径 54mm,LVEF 61%,微量心包积液
TEE:LA后前径55mm, LAA2叶, 开口内径19 mm, 深度24mm
诊断: 房颤, 永久型,
CHADS2:4分,CHA2-DS2-VASC:6分








Lifetech LAmbreTMDevice(中国人的发明)
小推送鞘(8~10F) 释放简单, 可回收,可再次定位, 可以行MRI


左心耳封堵器- LAmbreTM Device
夏XX,61岁,女性,因“反复心悸1年余,再发8月”入院
1年前,在我院初诊”房颤”,植入单腔起搏器,术后予华法林抗凝,服用不规律,INR未按医嘱监测
HTN10余年,1年前“脑梗”1次, “心尖肥厚型心肌病”病史
心电图: 房颤律,心室起搏
实验室检查:cTnT, ng/ml 0.085 (<0.014 正常), INR 1.27
TTE:LA内径 48mm,LVEF 58%,二尖瓣轻度反流
TEE:LA后前径55mm, LAA单叶, 开口内径22mm, 深度37mm
诊断: 房颤, 永久型, 单腔起搏器术后
CHADS2:3分, CHA2-DS2-VASC :4分

造影提示:LAA开口最大23.4mm
术前及术中TEE测量45º、60º、90º、135º提示开口最大22mm,深度38mm
选择28mm*34mm的LAmbre封堵器


术后常规双联抗血小板三个月后,单抗长久
本院第1例左心耳封堵术
术后即刻微量残余分流,直径1mm,提示成功
手术1次释放即成功,总用时90min
术后3月及12月复查TEE提示植入成功,未见残余分流
随访24个月,无严重不良事件发生

Included 53 cases(2014.4.14-2014.8.18,):
Long-term/Persistent AF n=46, Paroxysmal AF n=8
Age 72.7±9.14 (52-86),≧75 n=25,≧65n=44
Male n=26, Female n=27
CHADS2: 2.9±1.14,CHA2DS2-VASC: 4.2±1.39, HAS-BLED : 3.3±1.01
CHF n=4, HTN n=44, DM n=7,Previous Stroke/TIA n=39
INR 1.3±0.67,INR (2-3) n=6
Pre-procedural TTE:
LVEF62±8.2%,nosevere valvular regurgitation
Pre-procedural TEE:
LA Φ48.8±6.63mm,
LAAlobes 2.1±0.7, ostiumΦ: 20.2±3.55mm
Post-operative evaluation: TEE
no leak n=47, slight (<1mm)n=4,mild( ≤3mm)n=2, moderate(4mm)n=1
LAAC performance:
Release time 2.2±1.51
One: n=26, Two: n=9, Three: n=8, Four: n=7, Five: n=3, Eight: n=1
Replacement 10 devices (n=6)
Cover Φ : 32.7±3.63 mm, Umbrella Φ : 26.6±4.03 mm
Delivery Sheath: 10 F(n=43), 9 F (n=11)
Total time-cost: 67.1±18min,In-outSheath: 42.6±16.61min。
Contrast(iodixanol/visipaque): 85±29ml
Theday from operation to discharge: 3.8±1.47 (2-30)
· 3-m follow-up:51/53 (96%)
· 12-mfollow-up:51/53 (96%)
· 12-mfollow-up with TEE: 48/53(90.6%)(EKG、TTE、TEE)
PrimaryOutcomes:
· Ischemic stroke (n=1, 2015-4-7in the 11st month )
· Intracerebralhemorrhage (n=1, 2015-4-4 in the 11stmonth as HTN )
· LAA closure(52/53, 98 %,residual flow≤3mm, n=1with 4mm)
· Devicemigration/device-associatedembolization/regurgitation (n=0))
SevereAdverse Events:
· All-causere-hospitalization (n=30)
· Non-fatal complicationsat Puncture site (n=6)

封堵术前先行房颤消融





房颤抗凝管理,仍任重道远
NOACs,没有展现全面超越华法林的优越性
阵发型房颤:导管消融一线治疗
左心耳封堵,房颤抗凝新领域
持续性房颤: ±导管消融,±左心耳封堵,±药物?
– 越来越多的证据表明左心耳封堵安全有效
专家简介

陈 维
同济大学附属第十人民医院
中华医学会心血管病学分会第十届委员会结构性心脏病学组委员、中华医学会心电生理和起搏分会第六届委员会左心耳封堵工作委员会委员、中国医师协会重症医学医师分会心脏重症专家委员会常务委员、中国医师协会重症医学医师分会心脏重症专家委员会上海市分会副主任委员、中国医师协会心力衰竭专家委员会常务委员、中国医师协会心血管内科医师分会科普工作委员会、卫生部海峡两岸医药卫生交流协会心血管专业委员会委员、中国老年保健协会心血管专业委员会委员、中国生物工程学会高级会员、上海市生物医学工程学会第六届起搏与电生理专业委员会委员、卫生部十年百项计划血管病变早期检测分中心主任、《中国循证心血管医学杂志》编委、《中华心血管病杂志》审稿人。
科研成果:获省部级科技成果一等奖1项、在国内核心期刊及国外专业杂志上发表论著30余篇、主编译专著1部。
专业特长:从事心血管内科专业30年,擅长结构性心脏病介入治疗及冠心病介入、心脏起搏器安置术等。新近在开展的对房颤患者经皮左心耳封堵术、对心肌梗死后室壁瘤形成患者经皮左室重建术、肾动脉消融术等处于国际领先水平。