

在2017年心力衰竭国际学院济南站活动中,来自中国医学科学院阜外医院的张荣成教授为我们带来了题为“蛋白标记物在心力衰竭中的应用”的精彩报告。
我国心力衰竭面临巨大挑战

与心力衰竭有关的蛋白标记物

蛋白标记物在心力衰竭的应用范围

蛋白标记物在我国心力衰竭领域的研究现状
●心衰蛋白标记物使用率仍不高—中国心力衰竭注册登记研究(China-HF)显示住院心衰患者利钠肽的应用比例为42.4%
●目前心衰蛋白标记物大样本临床研究较少
▷传统标记物 - NT-proBNP、hs-TnI
▷新型标记物 - galectin-3、sST2
BNP/NT-proBNP的分泌和释放

BNP与NT-proBNP的特性

慢性心衰BNP/NT-proBNP指导的治疗

NT-proBNP在诊断心衰中的价值

ST2/IL-33 信号通路的心脏保护机制

可溶性ST2 在中国住院心衰患者的特点分析

3个月、1年及3年不同sST2 四分位患者全因死亡或心脏移植的发生率

sST2四分位患者的积累生存分析

比较:sST2 与NT-proBNP 对不良事件预测的比较

比较及联合:ST2 及 NT-proBNP 预测全因死亡或心脏移植的能力

NT-proBNP在诊断心衰中的价值

Galectin-3 在心肌重塑中的作用

Galectin-3对住院心衰患者不同类型死亡的预测

多因素调整后联合Galectin-3 与 NT-proBNP预测住院死亡

Cox回归分析galectin-3与不同类型死亡的关系

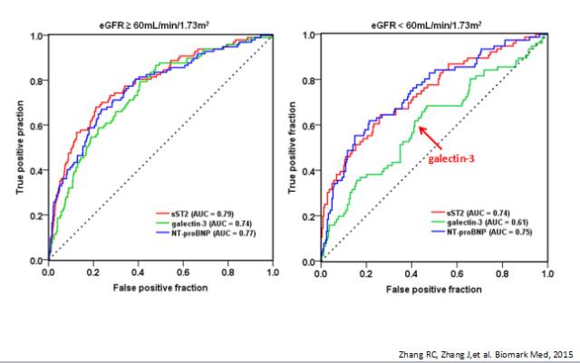
sST2、galectin-3 及NT-proBNP与肾小球滤过率的相关性分析

不同肾小球滤过率患者sST2、galectin-3及NT-proBNP 预测死亡的ROC曲线

前瞻性研究:
住院期间标记物变化对患者预后的影响
●136 例ADHF患者,住院存活,随访1年
●终点事件:心血管死亡及心衰再住院
●在入院及出院时测量sST2、galectin-3、BNP and MR-proANP
根据各自标记物入院及出院时的中位数水平分为四组:
1.入院低、出院低
2.入院高、出院低
3.入院低、出院高
4.入院高、出院高
标记物出入院水平与1年终点事件的关系

●Patients with higher sST2 concentration at admission and discharge had a comparable cumulative rate of events to patients with sST2 higher at either time point. In addition, patients with BNP concentration higher at admission and discharge had the highest risk of events. So does MR-proANP. When considering changes of galectin-3, we did not observe different cumulative risk under same level of galectin-3 at baseline.
●So, change in BNP or MR-proANP appeared to provide more prognostic information.
心力衰竭与肌钙蛋白

心肌损伤标记物主要有2种存在方式,一种主要以结构蛋白形式存在如肌钙蛋白和肌球蛋白,少部分以游离形式存在于细胞浆中;另一种主要存在于细胞浆中,如心型脂肪酸结合蛋白。当心肌严重损伤时,细胞膜通透性增加,首先存在于心肌细胞浆中的肌钙蛋白释放于血,随后肌钙蛋白复合物逐渐裂解,再释放于血中,估肌钙蛋白是以中等量速度释放的。而心型脂肪酸结合蛋白因为主要存在于细胞浆中,所以当细胞膜通透性破坏后,会大量释放于血液中,属于快速大量释放。对于心衰患者主要以心肌牵张或细胞凋亡为主,所以当细胞膜通透性改变后血浆中肌钙蛋白(6%)少量释放于血中,这就需要检测血中肌钙蛋白浓度的试剂盒对其在血液中的浓度更加敏感。我们称之为高敏肌钙蛋白,多种临床试验证明高敏肌钙蛋白及心型脂肪酸结合蛋白可以用于评价心衰患者的预后。
“高敏感”则涉及的范围更广

Adapted from: Hochholzer W et al. Am Heart J 2010; 160(4): 583-94.

急性心梗患者与急性心衰患者肌钙蛋白升高的区别

肌钙蛋白在急性心衰患者的阳性率

hs-cTn在急性心衰患者的分布


肌钙蛋白可预测急性心衰患者住院死亡

hs-cTn在急性心衰患者的预测价值


小结
●蛋白标记物参与了多种疾病的过程
●利钠肽及hs-TnI可为诊断心衰提供重要价值
●蛋白标记物可作为评估预后的辅助手段
●多种标记物联合指导心衰治疗有待进一步研究
专家简介

张荣成教授
●医学博士,中国医学科学院阜外医院主治医师
●主要从事心力衰竭的临床及科研工作,先后参与国家自然科学基金及国家“十二五”中国心力衰竭注册登记研究等多项国家课题,目前以第一作者或通讯作者发表SCI论文4篇,其中所投摘要曾受邀参加2014ESC口头发言。