

在2016年中国国际心力衰竭大会暨中国医师协会心力衰竭专业委员会第一届学术年会上,来自复旦大学附属中山医院的潘柏申教授给我们带来了“BNP/NT-proBNP的检测”精彩报告。

ANP(心房利钠肽,1981年 de Bold 发现)
成人心房,胚胎、新生儿心室组织及肥大心室中合成
BNP(B型利钠肽,1988年 Sudoh 首先报道)
心脏组织,心室肌细胞是 BNP 的主要来源。新近发现,心脏成纤维细胞也产生 BNP
CNP(C型利钠肽,1990年 Sudoh 发现)
血管组织和 CNS 中合成,心脏组织中几乎没有 CNP
URO(U型利钠肽)
由肾脏以旁分泌的方式分泌,具有利钠利尿作用







双抗体夹心法
一抗体结合环状结构双硫键
另一抗体结合BNP的C端或N端
BNP检测最好在样品采集后4h内完成

双抗体夹心法
一抗体结合位点位于 1-21 氨基酸
另一抗体结合位点位于 39-50 氨基酸

双单克隆抗体夹心法,电化学发光法检测
The majority of circulating NT-proBNP is truncated at its N and C termini
The glycosylation of the central region of NTproBNP has also been reported to interfere with immunodetection

An ideal immunoassay to detect NT-proBNP in plasma
Should not target the extreme N- and C-terminal regions of NTproBNP, because of endogenous proteolytic truncations at these sites
Should also not target the central O-glycosylated section of the protein
These results will be important for the development of next generation NT-proBNP immunoassays for diagnostic purposes
BNP assays are heterogeneous and measure both proBNP and the breakdown products of BNP1–32
proBNP is the major form detected by BNP assays, regardless of the degree of glycosylation
Commercial NT-proBNP assays show little cross-reactivity with proBNP when proBNP is glycosylated because glycosylation inhibits the assay’s antibody binding
How can we make best use of measured values of BNP and NT-proBNP?
What are their responses to therapies?
Which natriuretic peptides should be measured in clinical practice?
NT-proBNP 半衰期相对较长,浓度相对较稳定,含量相对较高(比 BNP 约高 16~20倍),检测相对较容易,是较理想的预测标志物
BNP 半衰期相对较短,在了解病人即刻情况时较有价值
BNP或NT-proBNP的临床应用价值相近
1、 标本采集
标本采集
BNP 和 NT-proBNP 较少受体位改变和日常活动影响,但要避免剧烈运动。
NT-proBNP的生物变异比BNP更小一些
患者应取相同的体位,以便比较
立位、坐位 vs 卧位,差异< 7%
站立或走动后未休息,BNP↑ 15%
采集前应休息15 min
止血带使用时间越短越好
样本类型
BNP: EDTA化血浆/全血
NT-proBNP:EDTA化血浆、血清和肝素化血浆、肝素化全血(POCT)
采样试管
BNP检测需用塑料材质或硅化玻璃试管采样
NT-proBNP血样可以用玻璃或塑料管,无严格要求
2、 标本储存
EDTA血浆标本中的稳定性实验比较*

*数据来源于各厂家试剂盒说明书
实线:Roche Elecsys NT-proBNP
虚线:Biosite Triage BNP


精氨酸醛肽蛋白水解酶抑制剂
antipain 16.7 mg/ml
leupeptin 16.7 mg/ml
缓激肽酶抑制剂(作用于C端精氨酸和颉氨酸)
PPACK I 1.85 mg/ml
PPACK II 1.85 mg/ml
有效(100%)减少BNP降解(4℃,>6d)
丝氨酸蛋白水解酶抑制剂
aprotinin 100 mg/ml 抑制效果~ 20%
benzamidine 15 mmol/ml 抑制效果~ 80%
AEBSF 0.5 mg/ml 抑制效果~ 80%
DEP 0.5% 抑制效果~100%



3. 治疗药物的影响
凡是参与促进神经内分泌轴激活的激素,如肾上腺素、糖皮质激素、甲状腺素等,都会引起BNP/NT-proBNP水平升高。
此类激素的拮抗剂如ACEI抑制剂、β受体阻滞剂和利尿剂等可引起BNP/NT-proBNP水平降低。
沙坦类、胺碘酮等会使其降低,而洋地黄类药物会使其升高。
NT-proBNP检测不受人类重组BNP(nesiritide)分子治疗的影响
4. 其他分析前影响因素
饮食习惯(钠的摄入)会影响钠尿肽的量
正常个体每日钠摄入量(如从平均171 mmol/d 增加至503 mmol/d), 5天后可导致:
BNP:升高53%
NT-proBNP:升高53%
心率的变化可影响钠尿肽水平
BNP: 心率每min增加10次可引起BNP浓度降低9%
NT-proBNP: 心率每min增加10次, NT-proBNP浓度降低15%
月经周期中BNP/NT-proBNP的量出现变化
妊娠后期、临产前以及肾脏功能不全时, BNP/NT-proBNP的量可增高
激素替代治疗(HRT)影响BNP/NT-proBNP的量
激素类/化学干扰物的影响

5. 系统分析精密度
方法学对比研究中,使用各种检验系统分析了72个样本,得到6,706 个结果
BNP检测的室间差异明显高于NT-proBNP检测

6. 年龄和性别
新生儿BNP浓度是成人的25~30倍,此后逐渐下降,3个月降至成人水平


NT-proBNP水平随年龄而升高,年龄每增加10岁,NT-proBNP升高30%,女性在各年龄段均较高于男性。
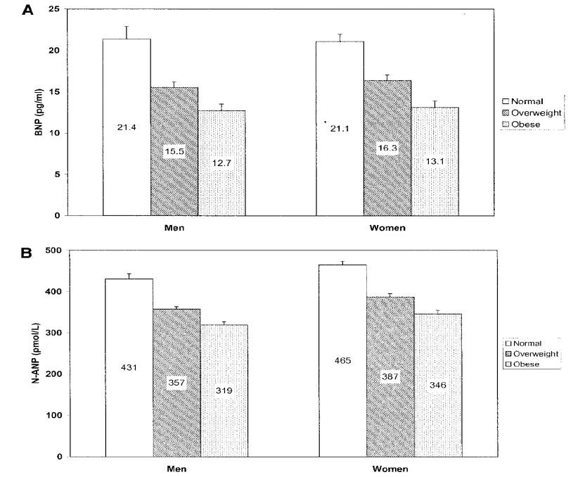
7. 肥胖 —— 体重指数(BMI)
肥胖患者BNP和NT-proBNP水平低于正常个体
体重指数(BMI)与BNP和NT-proBNP水平呈负相关








|
Normal Weight (n=3802) |
Overweight (n=4953) |
Obese (n=2356) |
Severely Obese (n=1119) |
|
|
Female, % |
62 |
46 |
54 |
75 |
|
Black, % |
15 |
22 |
33 |
44 |

8. 肾功能对利钠肽水平的影响

肾脏对NT-proBNP和BNP的清除能力相当
GFR每降低30ml/min ,利钠肽水平增加一倍



方法:378例患者,69%肾功能不全,30%心脏相关呼吸困难 (CRD),研究eGFR三分位的利钠肽水平
结果:
1,肾功能不全患者的MR-proANP、BNP及NT-proBNP的水平均显著升高 (P<0.01)
2,各eGFR分位中,CRD患者的MR-proANP/BNP/ NT-ProBNP水平均显著升高(P<0.01)
3,肾功能不全患者,利钠肽对CRD仍有诊断价值

9. 检测BNP的时间间隔研究
1690份标本(1241例病人)
1058份标本(685例病人)
健康人个体内变异43%~129%
病情稳定的CHF个体内变异24% ~ 77%
每天或隔天检测BNP并无临床价值
治疗1W后BNP才出现明显变化










利钠肽在心肌张力增加时释放到血液
BNP代谢途径更多,体内半衰期短;NT-proBNP主要靠肾脏清除,半衰期长
BNP 和 NT-proBNP的临床应用价值相似
BNP / NT-proBNP水平随年龄逐渐升高,女性高于男性,肥胖人群值偏低,肾功能不全患者值偏高
中国表面健康人群的NT-proBNP水平明显低于国外(欧美)人群。但国外诊断界值仍保持较好的诊断意义