

在2016年中国国际心力衰竭大会暨中国医师协会心力衰竭专业委员会第一届学术年会上,来自解放军总医院心衰中心的骆雷鸣教授给我们带来了“心肾综合征时心血管标志物的应用”精彩报告。

心肾研究的历史:


心肾协作与心肾共病:

临床上需要对临床上心肾共病(联合损害)的早期筛查、识别,进程、分型的确定,预防、干预的实施,转归、恶化的判断,作出规范合理的治疗。
心肾综合征的最新定义及分类:
急性透析质量倡议(ADQI )指导组, 2008 年意大利威尼斯会议,以共识形式通过心肾综合征初步定义和分类,后经多次修订,于 2010 年公开发表;
目的,更好理解和认识心肾联合损害的病因学(共享)、生物标志物早期诊断,制定预防性措施,开展并积累循证证据,制定治疗战略等;
远期目标,确定目前存在问题,提出包括临床研究在内的远期研究目标;
确定 5 型,作为未来研究靶点;评价生物标志物价值;促进早期诊断和治疗综合征,制定预防和治疗的总体战略。

心脏,心肾间的交互作用中的角色:
心肾相互作用的途径:心---肾。
血流动力学-1:动脉低灌注—小球滤过率下降,缺血肾脏组织中的受体、降解酶活性变化;心肌细胞和循环中的 pro-BNP的糖基化改变,活性降低;
血流动力学-2:静脉瘀血及压力升高,肾静脉压、肾间质压升高,肾小囊内压升高,滤过压降低;间质压升高—组织水肿,影响受体(效应受体、清除受体)活性,影响降解酶的活性-中性内切肽链酶;
神经内分泌-1:RAAS、SNS系统活化,肾血流下降,NPs作用的效应部位肾脏受影响,NP 效应减低,平衡紊乱;
神经内分泌-1:RAAS、SNS系统活化,肾血流下降,NPs作用的效应部位肾脏受影响,NP效应减低,平衡紊乱;
伴随其他的作用:贫血-组织缺血;低蛋白-同等情况下的静水压升高,另利尿剂的携带及运送受阻,水钠潴留;
心肾综合征治疗的主要问题:
兼顾两个器官的功能保护(矛盾);
压力/容量控制的微妙平衡(沙漠与沼泽)兼顾动脉与静脉 (矛盾);
心衰、肾功能不全、肺部感染、贫血(危险三角+1);
心肾共病时营养状态 (低白蛋白、低VD))危害与处理 (因果互换);
心肾共病时的低血钠症、成因、危害及处置 (常常错误处理);
心肾联合损害的水钠潴留与清除 (血管活性药物、襻利尿剂、重组BNP、LCZ696、AVP V2 受体拮抗剂、钙增敏剂、腺苷 V1受体拮抗剂、CRRT);
利尿剂抵抗及处置。
NPs 家族及生理作用





NPs 家族及作用:
心肾疾病:RAAS,SNS 活化,以及 RAAS、SNS 与 NPs、内皮舒张因子间平衡失调,既是心、肾结构和功能改变的原因,也是结果;
NPs:一种心脏、肾脏、血管源性激素,影响血管张力、血管内容量、体液分布、神经内分泌活化、CV 重塑和能力代谢;
NPs 经内分泌、自主分泌、旁分泌途径,维持心血管系统的动态平衡;通过受体(NPR),完成细胞内信号转导,发挥调控作用;
作用包括:调控BP 、血管容量、血液容量、心脏和肾脏重塑,影响细胞的能量代谢等;
NPs 的临床意义:
ANP、BNP/ NT-proBNP 与下列 CVE 相关:
急性心衰诊断,急性、慢性心衰的危险分层和预后评价(经典);
心脏源的栓塞性卒中 [Circulation 1993;88:82–91];
AMI [Circulation 2010;121:200–7.];
AF [Circulation 2002;105:286–9.] ;
当 CHF–HFrEF, 降低的NT-proBNP与CV预后的改善相关[Clin Chem 2006;52:1528–38.];
HF时,具有生物活性的 NPs 表达或功能缺陷,不仅数量,更重要的质量,活性形式。
BNP/NT-proBNP 的生成与演变:


NPs 的糖基化:

BNP/NT-proBNP 的生成与演变:

NPs 家族成员及其受体:


NT-proBNP /BNP 作为标志物的生物学特性比较:
NT-proBNP vs BNP 的优点:
较长的半衰期:60 - 120 min, BNP为 20 min;
血浆浓度较高: 更灵敏;
个体内变异小:几乎无昼夜变化;
血清与血浆的体外稳定性良好:室温下可稳定3天,对运送给实验室检验很重要;
采血体位对样品结果无影响;
与重组 BNP (Natrecor) 、LCZ 696 等药物无交叉反应。
BNP 与 NT-proBNP 的清除:
受体后降解(仅 BNP);
肾脏组织中酶解清除(仅 BNP);
肝脏、肾脏和肌肉组织代谢清除;
肾脏滤过清除。

BNP、NT-proBNP 部分经肾脏滤过清除:
两者对肾功能的依赖相同:
传统意义上,尽管BNP与NT-proBNP均与GFR负相关,但小分子蛋白的 BNP受肾功能影响更小?
测定165 例接受肾动脉造影、肾血浆流量测定和心脏超声个体,获得肾动脉、静脉BNP、NT-proBNP浓度;
BNP 、NT-proBNP浓度与eGFR 同等程度相关,均与eGFR呈反向关系,即eGFR下降会引起BNP 、NT-proBNP等同程度的升高;
多因素分析,NPs 的肾脏清除率不独立与 BNP、NT-proBNP的血浆浓度一致,即并非NPs血浆浓度越高,肾脏清除越多;
BNP、NT-proBNP清除,对肾功能的依赖程度相同, 随着eGFR下降,BNP、NT-proBNP肾脏清除能力等同下降;
肾脏对 NPs 清除的影响:
比较肾脏 BNP 和 NT-proBNP清除;两者都是小分子蛋白,与 eGFR 相关,但因果关系?
165例肾A造影者,于RA、RV测BNP和NT-proBNP,排泌分数(Fractional extraction,FE);
多因素分析,FE不与血浆BNP和NT-proBNP浓度独立相关,即并非血浆浓度越高,排泌越多;
与普遍认识相反,BNP和NT-proBNP尽管分子大小差别,但与肾脏清除能力同等程度相关。

BNP/NT-ProBNP 在机体内的清除:

BNP 作为标志物和活性物质的双重身份:

BNP/NT-proBNP浓度增加反映心脏结构、功能损伤:

血浆BNP/ NT-proBNP 浓度增加见于多种 CVD:

血浆 NT-proBNP 浓度的影响因素:


CKD 时 NPs 的价值:
肾功能影响BNP/NT-pro-BNP浓度,CKD时NP增加机制多重,但降低肾脏清除作为机制之一(不仅滤过,酶作用、受体清除).[JACC .2006;47:91–7]
其他解释: 由于减少肾脏功能肾单位,降低肾脏反应,减少第二信使合成,NP清除减少(肾脏清除受体—NCR-3 减少)。[Heart Fail Rev. 2003;8:355–8]
尽管如此,,大量证据,严重CKD的增加NP,主要与心脏-肾脏的反馈调节有关。(合成增加)[Clin Chem.2009;55:1347–53.]
CKD 时 NPs 的临床价值
NT-proBNP 的临床应用:


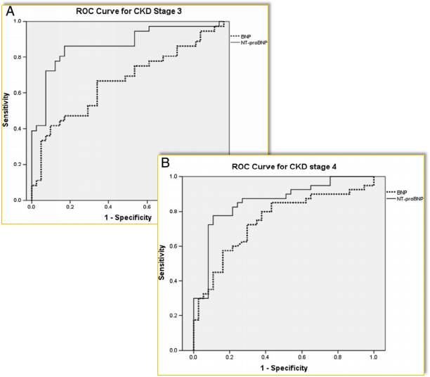
CKD时, BNPvsNT-ProBNP诊断心衰:
190例CKD(3-5期)、50%合并HFrEF;CKD=eGFR<60ml/min, HFrEF =EF<40%;
整个队列,从CKD3期到5期,HFrEF的BNP分别增加2.5 ,非HFrEF1.5倍;从CKD3期 vs5期,HFrEF的NT-proBNP增加4倍,非HFrEF增加3倍;
所有CKD患者,BNP、NT-proBNP诊断HFrEF的理想切值300pg/ml和4502 pg/ml。




诊断心衰 ROC–AUC, BNP、NT-proBNP (优)
CKD对NT-proBNP预测预后的影响-ICON:


CKD 时,NT-proBNP诊断及预测价值- RPIDE:
肾功能不全时,对AHF患者的NT-proBNP水平影响存在争议;
肾功能对 NT-proBNP 诊断和预测能力的影响;
599例呼吸困难且eGFR15-252ml/min患者,多因素分析NT-proBNP与eGFR 关联;ROC曲线的AUC评价诊断和预测60天死亡的精确度;
GFR≥60ml/min,NT-proBNP与GFR独立负相关;切值450(<50岁)和900pg/ml(≥50岁)诊断AHF敏感性85%、特异性88%;
GFR<60ml/min,NT-proBNP与GFR独立负相关;切值1,200pg/ml,敏感性和特异性为89%和72%。


NPs预测ADHF预后与肾功能损害 (CKD-EPI):
613ptsADHF,NT-proBNPandCysC,GFR-CysC-basedCKD-EPI;1st 终点:全因死亡,HF再住院;平均FU365天;
323死亡或HF再住院,eGFR<60mL/min/1.73m2和NT-proBNP>3251pg/mL独立预测不良预后(P< 0.01);两者联合改善不良预后预测的精确度;
ADHF, 联合NT-proBNP+eGFREPI-CysC,综合反映心肾结构、功能,提高对不良预后的预测效率。

CKD对NT-proBNP预测能力影响-PREVENT:
8121PREVENT(肾损害预测CVEs),包括CKD1-3期,hsTnT>0.01mg/L和NT-pro-BNP>125ng/L=增加;评价CKD对标志物预测 CVEs能力的影响;
人群,6.7%增加hsTnT,12.2%增加NT-pro-BNP;eGFR 与 hsTnT andNT-pro-BNP相关;
肾功能轻度受损时,hsTnT和NT-pro-BNP与CVEs 独立相关(P =0.03,P < 0.001);
CKD1-3期,增加hsTnT和NT-pro-BNP,可以预测CVEs,不受 eGFR下降的影响。

CKD时,NT-proBNP预测HF死亡风险:
CKD,NT-proBNP预测ADHF精确度?908例ADHFpts;分析eGFR对NT-proBNP预测死亡影响;
eGFR≥60,30–59<30ml,12月死亡234例(25.8%);NT-proBNP>5,180pg/ml,HR2.09(P<0.001)eGFR最高组,1.7(P<0.001)中间组,3.33(P=0.010)最低组;
HR,NT-proBNP高于理想cut-offs值(ROCanalysis),风险分别1.5(P=0.239),2.2 (P<0.001)和3.24(P=0.002);NT-proBNP作为二分法或分类变量,具有相同的C-statistics。(曲线下面积)。


CKD时NT-proBNP的ADHF诊断和预测价值Meta-分析:
50%诊断ADHF的患者中,50%存在不同程度的肾功能下降( eGFR<60ml/min);
CKD时,NT-proBNP增加多重因素参与,对于ADHF诊断和预测价值?
Meta分析:依肾功能(eGFR60ml/min/1.73 m2)分CKD和非CKD组。




NT-ProBNP在高龄CHF(包括CKD)的预测价值 :


CKD 时, NPs在CAD的预测价值:


CKD 时, NT-ProBNP预测cIMT增加的最强因子:

心血管标志物在CRS治疗中的作用:

